- Równanie van der Waalsa – kiedy powietrze nie jest gazem doskonałym?
Teoria, wzór, obliczenia van der Waalsa w pneumatyce
W wielu zastosowaniach inżynierskich, a szczególnie w przemyśle pneumatycznym, przyjmuje się, że powietrze zachowuje się jak gaz doskonały. Dla większości aplikacji to uproszczenie wystarcza – pozwala szybko i skutecznie wyznaczyć parametry przepływu, obliczyć siłę siłownika pneumatycznego czy dobrać odpowiedni zawór. Jednakże w pewnych warunkach – szczególnie przy wysokich ciśnieniach i niskich temperaturach – to założenie przestaje być prawdziwe. W takich sytuacjach z pomocą przychodzi równanie van der Waalsa, które uwzględnia rzeczywiste właściwości gazów, takie jak objętość cząsteczek oraz siły międzycząsteczkowe.
Gaz doskonały vs gaz rzeczywisty – różnice fundamentalne
Z punktu widzenia fizyki klasycznej, gaz doskonały to zbiór cząsteczek, które:
nie oddziałują ze sobą (brak sił międzycząsteczkowych),
mają zerową objętość własną,
są w nieustannym, chaotycznym ruchu.

Taki model jest użyteczny i wystarczający w wielu zastosowaniach, jednak nie odzwierciedla rzeczywistego zachowania gazów, zwłaszcza przy ekstremalnych warunkach procesowych. Gdy ciśnienie rośnie, cząsteczki są coraz bliżej siebie, a ich wzajemne oddziaływania stają się zauważalne. Wtedy model gazu doskonałego zawodzi.
Równanie van der Waalsa – uwzględnienie realiów
Holenderski fizyk Johannes Diderik van der Waals zaproponował korektę klasycznego równania gazu doskonałego, uwzględniając dwie kluczowe poprawki:
korektę objętości (b) – cząsteczki mają określoną objętość, więc nie cała objętość zbiornika jest dla nich dostępna,
korektę ciśnienia (a) – istnieją siły przyciągające między cząsteczkami, które obniżają ciśnienie wywierane na ścianki naczynia.
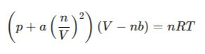
Równanie van der Waalsa ma postać:

Gdzie:
p – ciśnienie,
V – objętość,
n – liczba moli,
R – uniwersalna stała gazowa,
T – temperatura,
a, b – stałe charakterystyczne dla danego gazu.
Dla powietrza wartości te wynoszą orientacyjnie:

Znaczenie w inżynierii i pneumatyce
1. Wysokociśnieniowe instalacje pneumatyczne

W typowych systemach pneumatycznych ciśnienie robocze wynosi od 6 do 10 bar. W tym zakresie różnice między modelem gazu doskonałego a van der Waalsa są niewielkie.
Jednak w aplikacjach przemysłowych, takich jak:
wysokociśnieniowe kompresory (do 30 bar i więcej),
zbiorniki ciśnieniowe magazynujące sprężone powietrze (np. 200–300 bar),
systemy szybkiego uwalniania gazów (np. w urządzeniach bezpieczeństwa),
odchylenia od idealnego zachowania powietrza są zauważalne i wpływają na projektowanie armatury, grubość ścian zbiorników czy dobór zaworów bezpieczeństwa.

2. Dokładność obliczeń przepływowych
W modelowaniu przepływu gazów (np. w oprogramowaniu CFD – Computational Fluid Dynamics) stosowanie równania van der Waalsa pozwala lepiej odwzorować:
spadki ciśnienia na długich odcinkach rur,
zmiany gęstości gazu przy sprężaniu i rozprężaniu,
realne strumienie masowe przy zmianach temperatury i ciśnienia.
Dzięki temu projektanci mogą dokładniej analizować zjawiska takie jak kawitacja gazowa czy przepływ dławiony w zaworach.
3. Projektowanie urządzeń pneumatycznych w warunkach ekstremalnych
W przemyśle lotniczym, kosmicznym czy kriogenicznym panują ekstremalne warunki – niskie temperatury i wysokie ciśnienia. Zastosowanie klasycznego równania Clapeyrona-Mendelejewa prowadziłoby tam do znacznych błędów. Równanie van der Waalsa pozwala:
ocenić, kiedy gaz zacznie się skraplać,
przewidzieć zachowanie mieszanin gazowych w systemach wielofazowych,
modelować dyfuzję gazów przez membrany (np. w systemach odzyskiwania energii).
Praktyczny przykład – zbiornik powietrza 200 bar
Załóżmy, że chcemy obliczyć objętość rzeczywistą powietrza w zbiorniku o ciśnieniu 200 bar i temperaturze 20°C. Przyjmując:
n=10 mol
T=293 K
R=8,314 J/mol\cdotpK
z równania gazu doskonałego otrzymujemy:

Jednak z równania van der Waalsa objętość będzie większa, ponieważ trzeba uwzględnić siły międzycząsteczkowe i objętość własną gazu. Błąd może wynosić nawet kilka procent – co w skali przemysłowej (np. zbiorników 1000-litrowych) przekłada się na wymierne różnice w ciśnieniu, energii, a nawet bezpieczeństwie.

Znaczenie dla bezpieczeństwa i certyfikacji
W projektach urządzeń ciśnieniowych objętych dyrektywą PED (Pressure Equipment Directive), przy projektowaniu komponentów podlegających ocenie zgodności (np. zawory bezpieczeństwa, zbiorniki ciśnieniowe, siłowniki dużych gabarytów), uwzględnienie realnego zachowania gazu jest kluczowe dla zapewnienia:
odporności mechanicznej materiałów,
poprawnego działania zaworów nadmiarowych,
wyeliminowania ryzyka kondensacji wewnątrz układu.

Alternatywy i rozszerzenia równania van der Waalsa
Choć równanie van der Waalsa było pierwszym udanym modelem gazu rzeczywistego, współczesna inżynieria korzysta także z jego rozwinięć:
Równanie Redlicha-Kwonga – lepiej opisuje zachowanie gazów w wysokich temperaturach.
Model Peng-Robinsona – popularny w przemyśle petrochemicznym, wykorzystywany do modelowania gazów w warunkach nadkrytycznych.
Równania stanu z baz danych NIST (np. REFPROP) – pozwalają modelować mieszaniny gazów z dużą dokładnością, np. w instalacjach chłodniczych, klimatyzacyjnych i kriogenicznych.

W przemyśle pneumatycznym, choć często wystarcza model van der Waalsa, coraz więcej firm korzysta z dokładniejszych modeli w oprogramowaniu typu FluidSim, COMSOL czy MATLAB Simscape Fluids.
Równanie van der Waalsa w edukacji technicznej
Warto również zauważyć, że równanie van der Waalsa pełni ważną rolę w kształceniu techników i inżynierów:
pomaga zrozumieć różnice między modelem idealnym a rzeczywistym,
stanowi wstęp do zagadnień termodynamiki technicznej,
pokazuje wpływ sił międzycząsteczkowych na funkcjonowanie urządzeń.
W szkołach technicznych i na uczelniach wyższych (np. na kierunkach „automatyka i robotyka” czy „mechanika i budowa maszyn”) model ten jest punktem wyjścia do dalszych analiz i projektów – również tych realizowanych z wykorzystaniem Arduino czy Raspberry Pi w symulacjach układów pneumatycznych.

Autor:
Ekspert Pneumat.
Pneumat.

Autor:
Ekspert Pneumat.
Pneumat.
Zapisz się do newslettera i zyskaj dostęp do największej pneumatycznej bazy wiedzy!
Zyskaj dostęp do najnowszych artykułów, informacji o nadchodzących targach, wydarzeniach i mobilnych szkoleniach oraz promocjach w naszym sklepie internetowym!