- Kawitacja w pneumatyce
Efekt kawitacji – proces, zjawisko w przemyśle
Kawitacja to zjawisko powszechnie znane w hydraulice i przepływach cieczy, jednak coraz częściej mówi się o niej także w kontekście układów pneumatycznych i sprężonego powietrza. Choć medium w pneumatyce to gaz, to w wielu warunkach — szczególnie przy obecności wilgoci, kondensatu lub cieczy technologicznych — może dojść do warunków kawitacyjnych, skutkujących hałasem, drganiami, erozją i uszkodzeniem elementów instalacji.
W niniejszym artykule omówimy:
istotę kawitacji i warunki jej powstawania,
wpływ na układy pneumatyczne i komponenty automatyki,
branże szczególnie narażone,
rozwiązania konstrukcyjne i eksploatacyjne zapobiegające efektom kawitacji.

Czym jest kawitacja?
Kawitacja to zjawisko powstawania i gwałtownego zapadania się pęcherzyków pary lub gazu w cieczy (lub w wilgotnym medium gazowym), wskutek lokalnego spadku ciśnienia poniżej ciśnienia parowania.
Podczas tego procesu:
Ciśnienie lokalnie spada poniżej ciśnienia nasycenia – tworzą się pęcherzyki kawitacyjne.
Pęcherzyki przemieszcza się do obszaru wyższego ciśnienia.
3. Gwałtownie zapadają się (implozja) – generując mikrowybuchy, fale ciśnienia, uderzenia mechaniczne.

Kawitacja w pneumatyce – czy to możliwe?
Choć klasyczna kawitacja dotyczy cieczy, w układach pneumatycznych również mogą wystąpić warunki sprzyjające powstawaniu kawitacji:
obecność wilgoci, kondensatu lub zawilgoconego sprężonego powietrza,
rozprężanie sprężonego powietrza z wysokiego ciśnienia do niskiego (np. przez zawory dławiące, eżektory),
duża prędkość przepływu w zaworach, zwężkach lub dyszach,
gwałtowne zmiany kierunku przepływu,
instalacje, gdzie sprężone powietrze ma kontakt z cieczami (np. wodą technologiczną).
Zatem: tak, kawitacja może wystąpić w pneumatyce, jeśli występuje wilgoć lub para wodna i odpowiednie warunki ciśnieniowo-przepływowe.
Wzory i teoria – jak przewidzieć kawitację?
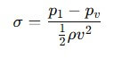
Kluczowy parametr: Liczba kawitacyjna (σ)
Wzór dla klasycznego przepływu:

Gdzie:
p1 – ciśnienie przed zwężką / zaworem [Pa],
pv – ciśnienie parowania cieczy (punkt rosy lub wrzenia),
ρ – gęstość medium (dla powietrza ok. 1,2 kg/m³),
v – prędkość przepływu [m/s].
Jeśli σ>1 → wysokie ryzyko kawitacji
Skutki kawitacji w układach pneumatycznych
1. Hałas i drgania
Implozje pęcherzyków powodują intensywny hałas o wysokiej częstotliwości, słyszalny szczególnie przy zaworach i dyszach – może być mylony z „strzelaniem” zaworu.
2. Uszkodzenia mechaniczne
Erozja gniazd zaworów, szybkozłączy, zaworów dławiących,
wypłukiwanie metalu z korpusu elementów (mikropęknięcia),
zużycie uszczelek i gniazd w siłownikach i zaworach rozdzielających.
3. Pogorszenie parametrów medium
wzrost wilgotności względnej,
obecność mikrokropelek kondensatu w liniach,
ryzyko korozji instalacji i komponentów.
| Branża | Aplikacja | Ryzyko kawitacji |
| Spożywcza | mycie, dozowanie cieczy | wysoka – kontakt z parą i wodą |
| Farmaceutyczna | sprężone powietrze w strefach czystych | średnia – wymagana kontrola punktu rosy |
| Automotive | pneumatyczne chwytaki, szybkie zawory | wysoka – cykle dużej częstotliwości |
| Drzewna | pistolety natryskowe, narzędzia | wysoka – praca w wilgotnym środowisku |
| HVAC / chłodnictwo | zawory 3/2 i siłowniki zawilgoconego powietrza | średnia – zwłaszcza w zimnym klimacie |
Rozwiązania inżynierskie – jak unikać kawitacji?
1. Osuszanie powietrza
Zastosuj:
osuszacze ziębnicze (dla większości aplikacji),
osuszacze adsorpcyjne – tam gdzie wymagany jest punkt rosy poniżej –20°C.
Produkty polecane:
Beko Technologies DRYPOINT RA / AC,
Festo MS9-LDM1 / MS6-E2M – zespoły przygotowania powietrza.
2. Stopniowanie redukcji ciśnienia
unikaj gwałtownego dławienia powietrza,
stosuj zawory regulacyjne o łagodnej charakterystyce (np. proporcjonalne).
Produkty polecane:
Zawory proporcjonalne Festo VPPM, VPPE,
Zawory regulacyjne Aignep z precyzyjnym dławiącym trzpieniem.


3. Stosowanie zaworów i komponentów odpornych na erozję
wybieraj zawory z rdzeniem i gniazdem ze stali nierdzewnej (AISI 316L, 304),
stosuj uszczelnienia z PTFE, FKM, EPDM – odporne na implozje pęcherzyków.
Dobre praktyki:
kontrola kierunku przepływu,
stosowanie zaworów z oznaczoną funkcją LBP (leak-before-press),
projektowanie przewężeń z ograniczonym gradientem ciśnień.
Diagnostyka – jak rozpoznać kawitację?
nieregularna praca zaworu (skaczący czas odpowiedzi),
głośne kliknięcia lub szum podczas rozprężania,
zmniejszona siła siłownika bez wycieku,
obecność mikrokropelek kondensatu w pobliżu zaworu lub zawilgoconego złącza
mikrorysy w przewodach PE/PA lub złączkach (szczególnie przy końcach instalacji).
Można użyć:
czujników ciśnienia i temperatury (np. Festo SPAN, SFAM),
kamer termowizyjnych do wykrywania zmian temperatury,
przetworników dźwięku ultradźwiękowego do wykrywania kawitacji.


Jak projektować instalacje pneumatyczne odporne na kawitację?
W praktyce inżynierskiej, skuteczna ochrona przed kawitacją wymaga integracji wiedzy z zakresu termodynamiki, mechaniki płynów oraz konstrukcji elementów wykonawczych. Oto kluczowe zasady projektowe:
1. Unikaj nagłych zwężeń i rozprężeń
Projektuj instalacje z płynnymi przejściami ciśnienia.
Unikaj gwałtownych dławień za pomocą zaworów zbyt małych względem przepływu.
W systemach wieloetapowych zastosuj dławiące zawory sekwencyjne lub zawory proporcjonalne, aby stopniowo redukować ciśnienie.
2. Stosuj tłumiki i kompensatory uderzeń
W miejscach szybkiego rozprężania (np. eżektory, zawory odpowietrzające) montuj tłumiki przepływu (np. z serii Festo U-… lub Aignep).
Kompensatory w formie zbiorników buforowych (np. mini zbiorników ciśnienia) stabilizują przepływ i łagodzą skoki ciśnienia.
3. Dobieraj komponenty z marginesem odporności
Elementy takie jak złączki, zawory, szybkozłączki i siłowniki powinny mieć certyfikowaną odporność na wilgoć, korozję i zmienne warunki termiczne.
Unikaj komponentów z taniego tworzywa ABS czy PCV w instalacjach przemysłowych – preferuj mosiądz niklowany, stal nierdzewną AISI 316L/304.
Studium przypadku: linia pakująca w chłodni – problem z hałasem i uszkodzeniami siłowników
Branża: przetwórstwo drobiu
Instalacja: linia pakująca z 8 siłownikami i 2 eżektorami próżniowymi
Problem:
Nieregularna praca siłowników, głośny „stuk” przy każdym cyklu,
Skrócenie żywotności uszczelnień tłoka – co 2–3 miesiące wymiana,
Widoczne mikroślady korozji wewnątrz złączek i przewodów.
Diagnoza:
System zasilany powietrzem z niewydolnego osuszacza (punkt rosy +10°C),
Powietrze było nasycone wilgocią, a podczas rozprężania w eżektorach i zaworach pojawiały się warunki kawitacyjne,
Powietrze schładzało się gwałtownie, powodując skraplanie i powstawanie mikroimplozji.
Rozwiązanie:
Zastosowanie osuszacza adsorpcyjnego Beko DRYPOINT AC (punkt rosy –40°C),

Modernizacja zaworów dławiących na modele proporcjonalne Festo VPPM z funkcją stopniowania przepływu,

Zmiana przewodów z PE na poliuretan wysokociśnieniowy,
Wprowadzenie monitoringu temperatury i wilgotności w czasie rzeczywistym z pomocą czujnika METPOINT DPM.


Efekt:
Redukcja hałasu o 40 dB(A),
Brak awarii siłowników przez 12 miesięcy,
20% wzrost wydajności całej linii przez eliminację mikroprzestojów.

Autor:
Ekspert Pneumat.
Pneumat.

Autor:
Ekspert Pneumat.
Pneumat.
Materiały zdjęciowe: Festo
Zapisz się do newslettera i zyskaj dostęp do największej pneumatycznej bazy wiedzy!
Zyskaj dostęp do najnowszych artykułów, informacji o nadchodzących targach, wydarzeniach i mobilnych szkoleniach oraz promocjach w naszym sklepie internetowym!