- Równanie Clapeyrona w kontekście sprężonego powietrza – wyjaśnienie praktyczne
Prawo, równanie stanu gazu doskonałego w pneumatyce
W przemyśle wykorzystującym pneumatykę – od zakładów produkcyjnych, przez automatykę maszyn, po systemy transportu technologicznego – kluczową rolę odgrywa zrozumienie i kontrola parametrów sprężonego powietrza. Jednym z fundamentalnych narzędzi matematycznych, pozwalających analizować i modelować zachowanie gazów, w tym powietrza, jest równanie Clapeyrona, zwane również równaniem stanu gazu doskonałego. Choć z pozoru proste, ma ono szerokie i praktyczne zastosowanie w projektowaniu, optymalizacji i diagnostyce instalacji pneumatycznych.
Równanie Clapeyrona – teoria w pigułce
Równanie Clapeyrona (równanie gazu doskonałego) opisuje zależność pomiędzy ciśnieniem (p), objętością (V) i temperaturą (T) danego gazu:
p ⋅ V = n ⋅ R ⋅ T
Gdzie:
p – ciśnienie absolutne (Pa)
V – objętość (m³)
n – liczba moli gazu (mol)
R – stała gazowa (8,314 J/mol·K)
T – temperatura bezwzględna (K)
W praktyce przemysłowej, gdzie często operujemy na znanych ilościach powietrza, wygodniej stosować formę:
p⋅V=m⋅Rs⋅T
Gdzie:
m – masa gazu (kg),
Rs – indywidualna stała gazowa dla powietrza (≈ 287 J/kg·K).
To równanie stanowi podstawę wszelkich obliczeń w pneumatyce: od projektowania zbiorników i doboru siłowników, po analizę strat energetycznych w instalacjach.
Zastosowanie równania Clapeyrona w pneumatyce przemysłowej
Dobór zbiorników ciśnieniowych
Równanie stanu pozwala obliczyć potrzebną objętość zbiornika buforowego przy danym ciśnieniu roboczym i zapotrzebowaniu energetycznym. Przykładowo, jeśli zakład potrzebuje 0,5 m³ sprężonego powietrza o ciśnieniu 8 bar i temperaturze 20°C, można dzięki równaniu oszacować objętość wymaganej rezerwy.

Oferta Pneumat System obejmuje szeroki wybór zbiorników ciśnieniowych pionowych i poziomych, zgodnych za Dyrektywą Ciśnieniową PED, dostępnych w pojemnościach od kilkunastu do kilku tysięcy litrów.

Weryfikacja pracy sprężarek
Wiedząc, że kompresja gazu powoduje wzrost temperatury, równanie Clapeyrona pozwala przewidzieć efekty cieplne kompresji. Pozwala to dobrać odpowiedni układ chłodzenia sprężarki i zabezpieczyć system przed przegrzaniem.

Pneumat System oferuje sprężarki śrubowe renomowanych marek, jak Kaeser, a także pełne układy chłodzenia i osuszania od BEKO czy Donaldson (np. osuszacze chłodnicze i osuszacze adsorpcyjne).


Obliczenia zużycia powietrza w siłownikach
Znając ciśnienie zasilania, temperaturę otoczenia oraz objętość cylindra, możemy precyzyjnie określić ilość powietrza potrzebną do jednego cyklu roboczego siłownika.
Firma Pneumat System posiada w ofercie:
Siłowniki ISO 15552, 6432, siłowniki beztłoczyskowe,
Kompaktowe siłowniki pneumatyczne,
Szeroki wybór osprzętu: zawory, czujniki, tłumiki hałasu, smarownice.
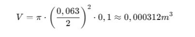
Przykład praktyczny – obliczenia dla układu pneumatycznego
Założenia:
Siłownik o średnicy 63 mm i skoku 100 mm
Ciśnienie robocze: 6 bar (absolutne: 7 bar)
Temperatura otoczenia: 20°C (293 K)
Objętość cylindra:

Masa powietrza (przy znanym Rs = 287 J/kg·K):

Takie wyliczenia są fundamentem doboru sprężarki oraz projektowania zasilania dla wielu siłowników jednocześnie.
Problemy i wyzwania w praktycznym zastosowaniu
Straty cieplne i wilgoć
Realne powietrze różni się od ideału. Straty cieplne i obecność pary wodnej wpływają na dokładność obliczeń. Równanie Clapeyrona jest podstawą, ale konieczne jest uwzględnienie korekt, szczególnie w przypadku sprężarek bez osuszaczy.
Rozwiązanie Pneumat System:
Osuszacze chłodnicze i adsorpcyjne, filtry precyzyjne oraz separatory cyklonowe.

Spadki ciśnienia
Nieprawidłowy dobór średnic rur i komponentów prowadzi do spadków ciśnienia, co zaburza równowagę opartą na równaniu stanu.
Pneumat System oferuje pomoc w projektowaniu instalacji oraz specjalistyczne produkty jak:
rury aluminiowe i złączki Aignep Infinity
zawory kulowe Effebi
przepływomierze i czujniki do monitoringu parametrów

Branże i aplikacje
Równanie Clapeyrona i jego praktyczne zastosowanie jest szczególnie ważne w branżach:
Automotive – zautomatyzowane linie montażowe z siłownikami pneumatycznymi
Przemysł spożywczy i opakowaniowy – delikatna manipulacja produktami

Elektronika – precyzyjne podawanie komponentów w środowisku kontrolowanym
Farmacja – instalacje czystopowietrzne i sterylne procesy produkcyjne

Jak Pneumat System wspiera praktyczne wykorzystanie wiedzy?
Pneumat System, jako lider w branży pneumatyki, oferuje:
Doradztwo inżynierskie – dobór elementów na podstawie rzeczywistych parametrów (ciśnienie, temperatura, zużycie).
Produkty zgodne z normami – komponenty o wysokiej tolerancji temperaturowej i ciśnieniowej.
Zestawy edukacyjne i szkoleniowe – dla uczelni i techników, z uwzględnieniem fizyki gazów.
Równanie Clapeyrona a dobór komponentów pneumatycznych
Siłowniki pneumatyczne – precyzyjne działanie pod kontrolą
Napędy pneumatyczne stanowią podstawowe ogniwo działania w automatyzacji przemysłowej. Ich poprawne funkcjonowanie zależy nie tylko od parametrów zasilającego powietrza, ale także od przewidywalności tego powietrza jako medium roboczego. Tu właśnie z pomocą przychodzi równanie Clapeyrona.

Zastosowanie równania:
Dobór średnicy tłoka w zależności od siły wymaganej na końcówce roboczej – przy znanym ciśnieniu roboczym i oporze ruchu.
Obliczenia czasów cyklu – dzięki znajomości masy powietrza potrzebnej do jednego ruchu można oszacować, ile cykli wykona siłownik na minutę przy danym przepływie.
Rozwiązania Pneumat System:
Siłowniki ISO 15552, miniaturowe, beztłoczyskowe, z tłumieniem pneumatycznym i magnetycznym.
Możliwość konfiguracji siłowników pod kątem nietypowych długości skoku lub środowiska pracy (np. wilgoć, temperatura).

Zawory sterujące – przepływ pod pełną kontrolą
Zawory 3/2, 5/2 czy 5/3 są używane do sterowania ruchem siłowników lub uruchamiania podzespołów. Ich poprawne działanie również bazuje na znajomości parametrów powietrza.
Praktyka:
W przypadku zbyt wysokiego ciśnienia dochodzi do nadmiernego zużycia uszczelnień i zaworów. Przy zbyt niskim – zawór pneumatyczny nie przełączy pozycji lub siłownik nie osiągnie krańcowego położenia.
Prawidłowe zaprojektowanie układu zaworowego wymaga znajomości przepływu (Q), który można wyznaczyć, korzystając z równania Clapeyrona oraz wartości Kvs lub Cv zaworu.
W ofercie Pneumat System:
Zawory elektromagnetyczne, ręczne, mechaniczne, zawory czasowe – m.in. Aignep, Pneumat, Camozzi.
Wyspy zaworowe ze zintegrowaną elektroniką – do centralnej kontroli ciśnienia i przepływu.

Diagnostyka i monitorowanie układów – weryfikacja zgodności ze stanem gazu idealnego
Analizatory przepływu – praktyczne wykorzystanie teorii gazu doskonałego
Do oceny efektywności systemu pneumatycznego i jego szczelności kluczowe są dane o rzeczywistym przepływie sprężonego powietrza. Tu znów wykorzystuje się uproszczoną wersję równania Clapeyrona – przeliczając objętość na masę i vice versa.

Produkty CS Instruments (VA500 / VA520):
Przepływomierze termiczne i kalorymetryczne mierzące przepływ masowy sprężonego powietrza w czasie rzeczywistym.
Możliwość przeliczeń na zużycie energii (kWh), CO₂ i koszty eksploatacyjne.
Kompatybilne z systemami SCADA i IoT – do zdalnej diagnostyki i alarmowania.

VA500 i VA520 – przykładowe zastosowania:
Pomiar przepływu w strefach produkcyjnych.
Diagnostyka zużycia sprężonego powietrza przez konkretne maszyny.
Detekcja mikrowycieków i anomalii w instalacji.

Autor:
Ekspert Pneumat.
Pneumat.

Autor:
Ekspert Pneumat.
Pneumat.
Zapisz się do newslettera i zyskaj dostęp do największej pneumatycznej bazy wiedzy!
Zyskaj dostęp do najnowszych artykułów, informacji o nadchodzących targach, wydarzeniach i mobilnych szkoleniach oraz promocjach w naszym sklepie internetowym!