- Ruchy Browna w gazach – wpływ na mikroskopowe przepływy
Ruch, efekt Browna w praktyce przemysłowej
Do podstawowych mechanizmów wykorzystywanych w procesach filtracji powietrza zaliczamy takie zjawiska fizyczne, jak:
dyfuzja (jako swoiste następstwo ruchów Browna)
wychwytywanie dynamiczne na mat. filtracyjnym,
osadzanie grawitacyjne,
zderzenia bezwładnościowe,
oddziaływania elektrostatyczne,
efekt sita.
Niniejszy artykuł omawia mechanizm ruchów Browna w gazach, ich wpływ na przepływy w mikroskali oraz związane z filtracją praktyczne konsekwencje dla przemysłu.
Ruchy Browna to zjawisko fizyczne, które – mimo że zostało zaobserwowane już w XIX wieku – do dziś odgrywa kluczową rolę w zrozumieniu dynamiki cząsteczek gazu oraz ich wpływu na mikroskalowe przepływy. W środowisku przemysłowym, w tym w instalacjach pneumatycznych, znajomość i uwzględnienie tego zjawiska jest niezbędne, zwłaszcza w kontekście precyzyjnych procesów, mikrofluidyki oraz rozwoju komponentów wykorzystujących gaz w ograniczonej przestrzeni.
Czym są ruchy Browna?
Historia i mechanizm
Zjawisko ruchów Browna zostało zaobserwowane przez botanika Roberta Browna w 1827 roku, który zauważył chaotyczne drgania cząstek pyłku zawieszonych w wodzie. Późniejsze badania wykazały, że przyczyną tego zjawiska są zderzenia niewidocznych cząsteczek cieczy z zawiesiną. W przypadku gazów mamy do czynienia z jeszcze intensywniejszymi i szybszymi ruchami cząsteczek, wynikającymi z ich znacznie większej swobody i energii kinetycznej.

W kontekście gazów ruchy Browna to nieregularne, przypadkowe trajektorie cząsteczek lub drobin (np. aerozoli, nanocząstek) poruszających się w wyniku nieustannych zderzeń z molekułami gazu. Ruchy te są bezpośrednio związane z temperaturą oraz lepkością medium.

Ruchy Browna a mikroskopowe przepływy gazu
Skala mikro i nano – dominacja dyfuzji
W systemach o wymiarach mikrometrycznych lub nanometrycznych, klasyczne modele przepływu gazu, oparte na równaniach Naviera-Stokesa, przestają być wystarczające. Na tych skalach efekty dyfuzji stają się dominujące, a ruchy Browna mają istotny wpływ na transport masy, ciepła oraz ładunku.
W rurkach kapilarnych, mikrokanalikach, czy porowatych materiałach, cząstki gazu nie tylko poruszają się pod wpływem gradientu ciśnienia, ale także wykazują ruch wynikający z gradientów stężeń (zgodnie z prawem Ficka) oraz ruchów termicznych (ruchy Browna). Efekty te mają znaczenie np. w mikroukładach pneumatycznych stosowanych w robotyce, medycynie, czy przemyśle farmaceutycznym.
Znaczenie w pneumatyce i technice przemysłowej
Mikroprzepływy w komponentach pneumatycznych
W klasycznych systemach pneumatycznych, takich jak zawory, siłowniki czy rozdzielacze, efekt Browna jest pomijalny. Jednak w układach precyzyjnych – jak np. mikrodozowniki, regulatory mikroprzepływu lub sensory cząsteczek – ruchy Browna mogą zakłócać sygnał lub wręcz decydować o efektywności działania urządzenia.
W mikroprzepływach, szczególnie przy niskich ciśnieniach (w zakresie próżni technicznej), średnia droga swobodna cząsteczek wzrasta, a ruchy Browna stają się dominującym mechanizmem dyfuzji. W takich warunkach stosuje się modele przepływu molekularnego (Knudsen flow), uwzględniające bezpośrednie zderzenia cząsteczek z ściankami kanału.
Dyfuzja gazów a czystość procesowa
W przemyśle półprzewodnikowym, spożywczym i farmaceutycznym powszechnie stosuje się systemy z kontrolowaną atmosferą gazową. Ruchy Browna przyczyniają się do niekontrolowanej dyfuzji cząstek stałych i lotnych, co może prowadzić do zanieczyszczeń lub zakłóceń w reakcji. Dla przykładu, w systemach inertyzacji azotem, mikrocząstki mogą zostać "wciągnięte" w reakcje lub adhezję z powierzchniami, a ich ruch jest wprost związany z ruchem Browna.
Modele matematyczne i symulacje
Równanie Langevina i modelowanie ruchów Browna
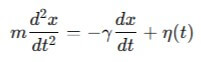
Ruch cząstki w gazie można opisać przy pomocy równania Langevina:

Gdzie:
m – masa cząstki,
γ – współczynnik oporu lepkościowego,
η(t) – losowa siła termiczna (biały szum).
Ten opis pozwala uwzględnić zarówno tłumienie ruchu przez gaz, jak i przypadkowe "kopnięcia" od zderzających się cząsteczek.

Powyższy wykres przedstawia symulację 2D ruchu Browna dla 5 cząsteczek gazu, które poruszają się w sposób losowy na skutek zderzeń z molekułami otaczającego medium. Symulacja trajektorii ruchów Browna – ścieżki pięciu cząsteczek gazu w układzie płaskim. Każda z cząsteczek przemieszcza się nieregularnie i niezależnie, co ilustruje charakterystyczną chaotyczną naturę zjawiska. Modelowanie tego typu pozwala analizować mikroskalowe przepływy i zjawiska dyfuzyjne w układach pneumatycznych oraz przemysłowych.
Symulacje CFD z uwzględnieniem efektu Browna
W nowoczesnych narzędziach do symulacji CFD (Computational Fluid Dynamics), takich jak ANSYS Fluent czy COMSOL Multiphysics, można wprowadzać warunki brzegowe i siły losowe symulujące wpływ ruchów Browna. Umożliwia to realistyczne odwzorowanie dyfuzji cząstek w mikrokanałach lub nanoprzestrzeniach, np. w analizie nanozaworów czy przepływów w porowatych strukturach.
Przykłady zastosowań przemysłowych
1. Pneumatyczne mikrosystemy dozujące
W urządzeniach dozujących substancje chemiczne lub farmaceutyczne w skali mikrogramowej, efekt Browna wpływa na precyzję lokowania cząstek aktywnych. Stosuje się tu dodatkowe filtry laminarne i kontrolę temperatury, by zminimalizować niepożądane ruchy termiczne.

2. Czujniki pyłu i aerozoli
Detektory pyłów zawieszonych (PM2.5, PM10) wykorzystują zjawisko ruchów Browna do identyfikacji i klasyfikacji cząstek na podstawie ich ruchliwości w polu elektrostatycznym. W przemyśle motoryzacyjnym i HVAC to podstawa pomiarów jakości powietrza.
3. Systemy transportu w próżni i półpróżni
W próżniowych systemach przenośnikowych, stosowanych np. w przemyśle spożywczym do transportu proszków, mikroskopowe zawirowania wywołane ruchami Browna mogą mieć wpływ na sedymentację cząstek w przewodach. Przewidzenie i kontrola tego zjawiska jest istotna dla równomiernego dozowania.
Kontrola efektu Browna w praktyce – rozwiązania Beko Technologies i Donaldson
Mikrofiltracja i separacja – fundamenty czystości gazów
Jak pokazuje praktyka przemysłowa, jednym z głównych wyzwań związanych z ruchem Browna w gazach jest niekontrolowany transport mikrocząstek i aerozoli – zarówno w kontekście czystości sprężonego powietrza, jak i stabilności procesów technologicznych. Producenci tacy jak Beko Technologies oraz Donaldson od lat rozwijają technologie, które pozwalają ograniczać wpływ tych zjawisk poprzez:
Filtrację cząstek stałych i ciekłych w zakresie mikro- i submikronowym,

Separację kondensatu,

Osuszanie sprężonego powietrza, co wpływa na lepkość dynamiczną i intensywność ruchów Browna,
Monitoring jakości powietrza – w tym pomiar obecności cząstek i mgieł olejowych, których zachowanie często ulega fluktuacjom na skutek efektu Browna.

Beko Technologies – precyzja w kontroli cząstek i wilgoci
Beko Technologies to niemiecki producent specjalizujący się w systemach uzdatniania sprężonego powietrza, którego oferta koncentruje się m.in. na:
1. Osuszaczach adsorpcyjnych serii BEKODRY i EVERDRY
Ruchy Browna są w dużej mierze zależne od temperatury i obecności pary wodnej – czynnika o wysokiej energii kinetycznej. Poprzez dokładne osuszanie sprężonego powietrza do poziomu nawet -70°C punktu rosy, urządzenia BEKO ograniczają intensywność mikroskopowych fluktuacji i dyfuzji cieczy w gazach, co jest kluczowe np. w produkcji farmaceutyków lub elektroniki.

2. Filtry CLEARPOINT
Dzięki wielostopniowej filtracji (w tym filtracji submikronowej), systemy CLEARPOINT redukują ilość cząstek unoszących się w sprężonym powietrzu, które są nośnikami efektu Browna. Im mniej cząstek zawieszonych, tym mniej intensywna jest dyfuzja niepożądanych substancji w kierunku wrażliwych punktów układu.


3. Systemy pomiarowe METPOINT
Czujniki jakości powietrza METPOINT OCV i METPOINT PRM umożliwiają ciągły monitoring obecności mgieł olejowych i cząstek, których koncentracja może się zmieniać właśnie na skutek mikroskopowych przepływów dyfuzyjnych. Pozwala to nie tylko na kontrolę jakości powietrza, ale także na ocenę intensywności efektu Browna w rzeczywistych warunkach procesowych.

Donaldson – zaawansowane systemy filtracji i ochrony końcowej
Donaldson to globalny lider w dziedzinie filtracji przemysłowej. Jego rozwiązania są często wykorzystywane w najbardziej wymagających branżach, takich jak przemysł spożywczy, chemiczny, elektroniczny i medyczny – tam, gdzie nawet mikroskopowe przepływy cząstek mogą wywołać efekt domina w jakości produktu końcowego.
1. Filtry DF i serii P-EG / PG-EG
Filtry przemysłowe z serii DF (Donaldson Filters) czy P-EG (Process Engineering Gas) wyposażone są w wkłady o skuteczności do 99,9999% w zakresie cząstek 0,01 µm. Tak dokładna filtracja eliminuje główne źródła dyfuzji cząsteczek wywołanych ruchem Browna, takich jak mikrocząstki oleju czy pyłki organiczne.


2. Filtry końcowe z membranami PTFE lub PES
W aplikacjach sterylnych – np. w przemyśle farmaceutycznym – Donaldson dostarcza filtry końcowe z membranami teflonowymi lub polieterosulfonowymi (PTFE / PES), które działają jak bariera dla gazów i cząstek przemieszczających się dyfuzyjnie pod wpływem mikroskopowych ruchów gazowych.

3. Systemy z detekcją nanocząstek
Zaawansowane analizatory czystości oferowane przez Donaldson pozwalają na detekcję cząstek w czasie rzeczywistym – co daje możliwość wczesnego wykrycia zjawisk dyfuzyjnych i potencjalnych anomalii w przepływie spowodowanych m.in. przez intensywne ruchy Browna w gazie transportowym.

Znaczenie dla przemysłu przyszłości
W dobie rosnącej miniaturyzacji, automatyzacji oraz wzrostu wymagań dotyczących czystości i niezawodności, zjawiska takie jak ruchy Browna nie mogą być już traktowane jedynie jako ciekawostka akademicka. W układach mikropneumatycznych, systemach próżniowych czy instalacjach o wysokiej czystości (cleanroom class ISO 3–5), ich wpływ jest realny, mierzalny i wymaga inżynierskiej kontroli.
Rozwiązania takich firm jak Beko Technologies i Donaldson nie tylko redukują skutki tego zjawiska, ale czynią je również przewidywalnymi i – co najważniejsze – bezpiecznymi dla ciągłości procesów.

Autor:
Krzysztof Kornacki
Product Manager
Pneumat.

Autor:
Krzysztof Kornacki
Product Manager
Pneumat.
Zapisz się do newslettera i zyskaj dostęp do największej pneumatycznej bazy wiedzy!
Zyskaj dostęp do najnowszych artykułów, informacji o nadchodzących targach, wydarzeniach i mobilnych szkoleniach oraz promocjach w naszym sklepie internetowym!