- Co to jest przepływ laminarny i turbulentny w przewodach?
Przepływ laminarny powietrza a turbulentny
W każdej instalacji, w której występuje przepływ cieczy lub gazu – niezależnie czy mówimy o pneumatyce, hydraulice, czy wentylacji – niezwykle istotne jest zrozumienie charakterystyki przepływu medium. Dwa podstawowe typy przepływu to przepływ laminarny oraz przepływ turbulentny. Ich rozróżnienie nie jest wyłącznie akademicką ciekawostką – to kluczowy element projektowania, doboru komponentów i utrzymania efektywności instalacji przemysłowych.
Czym jest przepływ laminarny?
Przepływ laminarny charakteryzuje się uporządkowanym ruchem warstwowym. Cząsteczki gazu lub cieczy poruszają się równolegle do osi przewodu, nie mieszając się intensywnie ze sobą. Ten typ przepływu występuje zazwyczaj przy niskich prędkościach przepływu i w przypadku płynów o wysokiej lepkości lub w wąskich rurach.

Cechy przepływu laminarnego:
brak zawirowań i zmienności kierunku przepływu,
minimalne straty energii,
przewidywalność zachowania medium,
równomierny rozkład prędkości (maksymalna prędkość w osi przewodu, zanikająca przy ściankach).
Zastosowanie w przemyśle:
instalacje precyzyjnego dozowania,
dysze specjalne i noże powietrzne
medycyna i farmacja,

laboratoria i przemysł spożywczy (laminarne komory czyste),

niektóre układy pneumatyczne o niskim przepływie.
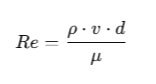
Współczynnik Reynoldsa – granica między laminarem a turbulentnym
Granica między przepływem laminarnym a turbulentnym wyznaczana jest przez bezwymiarowy współczynnik Reynoldsa (Re):

gdzie:
ρ – gęstość medium [kg/m³],
v – prędkość przepływu [m/s],
d – średnica wewnętrzna przewodu [m],
μ – lepkość dynamiczna [Pa·s].
Interpretacja:
Re < 2000 – przepływ laminarny,
Re 2000–4000 – przepływ przejściowy,
Re > 4000 – przepływ turbulentny.

W pneumatyce i systemach sprężonego powietrza, ze względu na niską lepkość powietrza i wysoką prędkość w przewodach, bardzo często występuje przepływ turbulentny.

Przepływ a projektowanie instalacji pneumatycznej
W inżynierii pneumatycznej wybór pomiędzy laminarnym a turbulentnym przepływem wpływa bezpośrednio na:
Dobór średnic przewodów – zbyt mała średnica prowadzi do turbulentnego przepływu i nadmiernych spadków ciśnienia.
Energooszczędność systemu – przy przepływie turbulentnym straty ciśnienia rosną nieliniowo, co wymaga większego zużycia energii na sprężanie.
Hałas i drgania – w turbulentnym przepływie mogą wystąpić rezonanse, niepożądane w wielu aplikacjach.
Precyzja sterowania – przepływ laminarny daje bardziej przewidywalne reakcje zaworów, siłowników i dozowników.
Zanieczyszczenia – turbulentny przepływ może powodować odkładanie się cząstek w przewodach lub ich oderwanie i zanieczyszczenie układu.

Przykład praktyczny: siłowniki pneumatyczne i typ przepływu
Weźmy jako przykład siłowniki pneumatyczne stosowane w liniach montażowych. W przypadku szybkiego działania i częstych cykli, stosowany jest przepływ turbulentny – zapewnia on szybki transfer powietrza i mocny impuls siły. Z kolei przy aplikacjach dozujących lub precyzyjnego pozycjonowania, dąży się do warunków bardziej laminarnego przepływu – np. przez zastosowanie przepustnic, zaworów dławiących lub tłumików.

Pneumatyka przemysłowa a kontrola przepływu
W nowoczesnych systemach pneumatycznych, takich jak te oferowane przez Festo, Aignep czy Riegler, stosuje się zawory proporcjonalne, regulatory przepływu i zawory precyzyjne umożliwiające dostosowanie charakterystyki przepływu – co pozwala w pełni wykorzystać właściwości zarówno przepływu laminarnego, jak i turbulentnego w zależności od wymagań aplikacji.

Branże najbardziej wrażliwe na charakter przepływu
Nie wszystkie sektory przemysłu przykładają taką samą wagę do kontroli charakterystyki przepływu. W niektórych branżach, wybór między przepływem laminarnym a turbulentnym ma bezpośredni wpływ na jakość produktu lub bezpieczeństwo procesowe:
| Branża | Preferowany przepływ | Uzasadnienie |
| Farmacja | Laminarny | Zapobieganie kontaminacji |
| Spożywcza | Laminarny lub mieszany | Czystość i precyzja dozowania |
| Przemysł ciężki | Turbulentny | Wydajność i intensywność działania |
| Laboratoria | Laminarny | Sterylność, dokładność |
| Motoryzacja | Turbulentny | Szybkie cykle pracy |

Autor:
Wojciech Połeć
Product Manager
Pneumat.

Autor:
Wojciech Połeć
Product Manager
Pneumat.
Zapisz się do newslettera i zyskaj dostęp do największej pneumatycznej bazy wiedzy!
Zyskaj dostęp do najnowszych artykułów, informacji o nadchodzących targach, wydarzeniach i mobilnych szkoleniach oraz promocjach w naszym sklepie internetowym!