- Prawo Newtona o lepkości dynamicznej w gazach - fundament przepływów w pneumatyce przemysłowej
Lepkość dynamiczna – teoria, zasada, wzór Newtona
W nowoczesnych instalacjach przemysłowych, a zwłaszcza w systemach pneumatycznych, precyzyjne zrozumienie właściwości fizycznych powietrza jako medium roboczego jest kluczowe dla wydajności, niezawodności i optymalizacji procesów. Jednym z podstawowych zjawisk rządzących ruchem gazów jest lepkość dynamiczna, którą opisuje tzw. prawo Newtona. Choć kojarzone głównie z cieczami, prawo to ma równie istotne znaczenie w odniesieniu do gazów – zwłaszcza w kontekście transportu pneumatycznego, sterowania siłownikami, czy projektowania układów zaworowych. Artykuł ten omawia podstawy fizyczne prawa Newtona, jego znaczenie w przemyśle oraz zastosowanie w produktach oferowanych przez firmę Festo – lidera w dziedzinie automatyki pneumatycznej.
Czym jest lepkość dynamiczna i prawo Newtona?
Lepkość dynamiczna (oznaczana symbolem η lub μ) to miara wewnętrznego tarcia między warstwami płynu lub gazu przemieszczającymi się względem siebie. Dla cieczy jest to wynik oddziaływań molekularnych, dla gazów – wynika głównie z zderzeń cząsteczek gazu. W przypadku gazów, lepkość dynamiczna wzrasta wraz z temperaturą, co stanowi odwrotność zachowania cieczy.
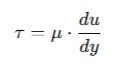
Prawo Newtona o lepkości w najprostszej formie głosi, że:

Gdzie:
τ – naprężenie styczne (Pa)
μ – lepkość dynamiczna (Pa·s)
du / dy- gradient prędkości (1/s)
Dla gazów newtonowskich (np. powietrze), lepkość dynamiczna jest stała przy danej temperaturze i nie zależy od gradientu prędkości. Gazy takie zachowują się zgodnie z liniowym prawem Newtona, co umożliwia ich dokładne modelowanie w układach przemysłowych.

Lepkość gazów a przemysł – dlaczego to istotne?
W pneumatyce przemysłowej gaz (zazwyczaj powietrze) jest sprężany, rozprężany, przetłaczany i wykorzystywany do przenoszenia energii. Każdy z tych procesów wiąże się z przepływem powietrza przez przewody, zawory, siłowniki i inne elementy systemu.
Lepkość dynamiczna wpływa m.in. na:
spadki ciśnienia w przewodach,
charakter przepływu (laminarny, turbulentny),
szybkość reakcji siłowników i zaworów,
wydajność energetyczną układu,
straty cieplne i hałas.
W praktyce inżynierskiej uwzględnienie lepkości gazu jest konieczne do prawidłowego doboru średnic rur, projektowania układów regulacyjnych oraz sterowania przepływem i ciśnieniem.

Wpływ temperatury i ciśnienia na lepkość powietrza
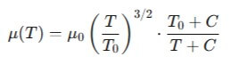
W przeciwieństwie do cieczy, dla gazów lepkość dynamiczna rośnie wraz z temperaturą. Zależność ta została opisana m.in. przez równanie Sutherlanda:

Gdzie:
μ0 – lepkość w temperaturze odniesienia T0
C – stała Sutherlanda (dla powietrza ok. 110 K).
Oznacza to, że w wysokotemperaturowych aplikacjach przemysłowych należy liczyć się z większymi stratami przepływu, większym oporem i spadkiem efektywności układu.
Pneumatyka a lepkość – projektowanie z uwzględnieniem prawa Newtona
Projektanci systemów pneumatycznych muszą uwzględniać lepkość dynamiczną powietrza w wielu aspektach pracy układów:
Obliczenia przepływu przez dysze, przewody i zawory (np. korzystając z prawa Poiseuille’a lub Bernoulliego z poprawkami na lepkość),
Charakterystyka dynamiczna siłowników, w których opory lepkościowe wpływają na czas reakcji i stabilność ruchu,
Wybór elementów regulacyjnych – zaworów proporcjonalnych i regulatorów ciśnienia,
Dobór filtrów, osuszaczy i przygotowania powietrza, które mają wpływ na gęstość i lepkość czynnika roboczego.
Festo – precyzja i efektywność dzięki wiedzy o przepływach
Firma Festo to światowy lider w dziedzinie automatyzacji procesów przemysłowych, w tym szczególnie pneumatyki. W swojej ofercie posiada komponenty, które projektowane są z pełnym uwzględnieniem zjawisk związanych z lepkością dynamiczną gazów.
Przykłady produktów Festo uwzględniających prawo Newtona o lepkości:

Zawory proporcjonalne VPPM/ VEMP – umożliwiają precyzyjne sterowanie przepływem powietrza, uwzględniając jego lepkość i ciśnienie.

Regulatory przepływu typu GRLA/GRLZ – pozwalają ograniczyć przepływ powietrza z zachowaniem liniowej charakterystyki, zgodnie z założeniami prawa Newtona.

Zespoły przygotowania powietrza MS – eliminują wilgoć, zanieczyszczenia i stabilizują temperaturę czynnika roboczego, ograniczając zmienność lepkości.

Symulacje w Festo FluidSIM i Festo Automation Suite – umożliwiają analizę układów z uwzględnieniem parametrów lepkości i ich wpływu na dynamikę działania komponentów.

Festo stosuje w swoich rozwiązaniach modelowanie CFD, które bierze pod uwagę zarówno lepkość dynamiczną, jak i jej zmienność w funkcji temperatury oraz ciśnienia – co przekłada się na rzeczywistą efektywność systemów pneumatycznych.
Znaczenie w kontekście Przemysłu 4.0
W erze cyfrowej automatyzacji i Przemysłu 4.0, znajomość parametrów fizycznych medium roboczego staje się jeszcze ważniejsza. Systemy Festo wyposażone w czujniki przepływu (np. SFAH, SFAB, SFAM) i zintegrowane układy diagnostyczne pozwalają nie tylko mierzyć, ale i prognozować zmiany lepkości w czasie rzeczywistym – co otwiera drogę do:
predykcyjnego utrzymania ruchu,
optymalizacji energetycznej instalacji,
automatycznej kompensacji parametrów przepływu.

Dynamika siłowników pneumatycznych
W siłownikach pneumatycznych, takich jak Festo DSBC, ADN czy DNC, lepkość powietrza wpływa na szybkość napełniania komór roboczych oraz opory przepływu przez tłok i uszczelnienia. Przy dużych prędkościach lub długich przewodach nawet niewielki wzrost lepkości (np. w wyniku wzrostu temperatury) może powodować opóźnienia w reakcji siłownika i konieczność kompensacji w układzie sterowania.
Rozwiązania Festo:
Tłumienie końcowe PPS w siłownikach Festo – zapewnia płynne wyhamowanie ruchu, kompensując opory wynikające z lepkości powietrza.
Zawory szybkiego odpowietrzania typu VFOE – minimalizują straty wynikające z lepkości i zwiększają dynamikę ruchu.

Systemy dozujące i podciśnieniowe
W aplikacjach precyzyjnego dozowania – np. przy produkcji elektroniki, farmaceutyków czy opakowań – lepkość powietrza wpływa na dokładność podawania i ssania. Przykładowo, przy zbyt dużym oporze lepkościowym powietrze może nie zassać elementu z wymaganą siłą.
Festo oferuje tu m.in.:
Generatory podciśnienia VADMI i OVEM – które kompensują zmienność przepływu wynikającą z lepkości.

Czujniki przepływu SFAB i SFAH – pozwalają monitorować przepływ w czasie rzeczywistym i wykrywać zmiany wynikające z wahania lepkości (np. na skutek wzrostu temperatury otoczenia).

Wysokotemperaturowe linie produkcyjne
W hutnictwie, przetwórstwie tworzyw sztucznych, przemyśle szklarskim i spożywczym często występują wysokie temperatury (80–200°C), co wpływa bezpośrednio na wzrost lepkości powietrza.

Rozwiązania Festo odporne na zmiany lepkości:
Siłowniki ISO DSNU i DZH w wersjach HT (High Temperature) – odporne na działanie gorącego powietrza.
Elementy przygotowania powietrza serii MS w wersjach z filtrowaniem wysokotemperaturowym.
Zawory pilotowe i proporcjonalne wykonane ze specjalnych materiałów, zapewniające stałe właściwości przepływowe przy zmieniającej się lepkości gazu.
Diagnostyka i kompensacja – inteligentne podejście Festo
Dzięki integracji czujników i komunikacji cyfrowej (np. IO-Link, OPC-UA), Festo umożliwia dynamiczne monitorowanie parametrów przepływu i kompensowanie zmian lepkości w czasie rzeczywistym. Systemy takie jak Festo CPX-E Automation System czy VTEM – Motion Terminal pozwalają:
monitorować odchyłki przepływu w funkcji temperatury,
automatycznie dostosowywać charakterystyki zaworów do zmiennych warunków lepkości,
zbierać dane historyczne i tworzyć predykcyjne modele diagnostyczne (np. sygnały spadku wydajności przez zanieczyszczenie medium).

To istotne zwłaszcza w branżach wysokiego ryzyka – np. w automotive, spożywce i farmacji, gdzie niewielkie odchyłki parametrów pracy mogą prowadzić do błędów produkcyjnych lub awarii.

Autor:
Jerzy Witkoś
Product Manager
Pneumat.

Autor:
Jerzy Witkoś
Product Manager
Pneumat.
Materiały zdjęciowe: Festo
Zapisz się do newslettera i zyskaj dostęp do największej pneumatycznej bazy wiedzy!
Zyskaj dostęp do najnowszych artykułów, informacji o nadchodzących targach, wydarzeniach i mobilnych szkoleniach oraz promocjach w naszym sklepie internetowym!