- Prawo Torricellego i pomiary przepływu w pneumatyce
Równanie Torricellego – zasada, wzór, zjawisko w praktyce
Pneumatyka, czyli technika wykorzystująca sprężone powietrze jako medium robocze, jest nieodłącznym elementem nowoczesnej automatyki przemysłowej. Kluczowym zagadnieniem w układach pneumatycznych jest pomiary przepływu powietrza, które mają ogromne znaczenie zarówno dla efektywności energetycznej, jak i precyzyjnego sterowania procesami. Choć może się wydawać, że prawo Torricellego, opisujące wypływ cieczy z otworu, dotyczy wyłącznie hydrauliki lub fizyki płynów, jego podstawy fizyczne znajdują zastosowanie również w pomiarach przepływu gazów – w tym sprężonego powietrza.
W tym artykule przyjrzymy się:
na czym polega prawo Torricellego,
jak zasada ta przekłada się na przepływ gazów,
jakie metody pomiaru przepływu stosuje się w pneumatyce,
jakie urządzenia i rozwiązania w tej dziedzinie oferuje firma Festo.
Prawo Torricellego – podstawy fizyczne
Historia i definicja
Prawo Torricellego zostało sformułowane w 1643 roku przez włoskiego fizyka Evangelistę Torricellego, ucznia Galileusza.

Dotyczy ono prędkości wypływu cieczy z otworu w ścianie zbiornika i wynika z zasady zachowania energii.
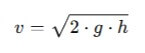
W najprostszej postaci prawo Torricellego mówi, że:

gdzie:
v – prędkość wypływu cieczy [m/s],
g – przyspieszenie ziemskie (9,81 m/s²),
h – różnica poziomów cieczy (wysokość słupa cieczy nad otworem) [m].
Jest to w zasadzie konsekwencja równania Bernoulliego – transformacji energii potencjalnej w kinetyczną.
Związek z gazami
Choć Torricelli opisał wypływ cieczy, jego prawo jest częściowym przypadkiem równania Bernoulliego, które obowiązuje także dla gazów (przy pewnych założeniach, jak brak lepkości, przepływ nieściśliwy lub ściśliwy, itp.). W pneumatyce mamy jednak do czynienia z medium ściśliwym – sprężonym powietrzem – co wprowadza dodatkowe złożoności.
W praktyce oznacza to, że wzory Torricellego mogą być wykorzystane w urządzeniach mierzących przepływ, np. w kryzach pomiarowych czy dyszach Venturiego, choć w przypadku gazów trzeba stosować poprawki na ściśliwość.
Zasady pomiaru przepływu w pneumatyce
Dlaczego mierzymy przepływ?
W przemyśle pomiar przepływu sprężonego powietrza pozwala:
kontrolować zużycie energii, co przekłada się na koszty eksploatacji,
wykrywać nieszczelności w układzie,
zapewniać powtarzalność procesów technologicznych (np. w aplikacjach dozujących),
diagnozować stan techniczny instalacji pneumatycznych,
kontrolować jakość produkcji (np. w procesach pakowania, cięcia, formowania).

Podstawowe metody pomiaru przepływu powietrza
Pomiar metodą różnicy ciśnień
To jedna z najstarszych i najczęściej stosowanych metod. Oparta jest na zasadzie Bernoulliego i w uproszczeniu także na prawie Torricellego. W układzie znajduje się przeszkoda w przepływie – np. kryza, zwężka Venturiego czy dysza – która powoduje spadek ciśnienia. Różnica ciśnień przed i za przeszkodą jest proporcjonalna do kwadratu prędkości przepływu.
Dla gazów korekty obejmują:
ściśliwość gazu,
zmiany temperatury,
ciśnienie bezwzględne.
Pomiar różnicy ciśnień realizowany jest za pomocą przetworników różnicy ciśnień.
Przepływomierze termiczne
W pneumatyce często stosuje się przepływomierze termiczne, w których element grzewczy jest chłodzony przez przepływające powietrze. Im większy przepływ, tym intensywniejsze chłodzenie, co pozwala precyzyjnie wyznaczyć natężenie przepływu. To technologia o wysokiej czułości, zwłaszcza przy małych przepływach.

Przepływomierze wirowe (vortexowe)
W rurze pomiarowej umieszcza się przegrodę, za którą powstają wiry. Częstotliwość powstawania wirów jest proporcjonalna do prędkości przepływu. Technika ta jest mniej popularna w klasycznej pneumatyce przemysłowej, ale bywa stosowana przy dużych przepływach.
Przepływomierze masowe (Coriolisa)
Chociaż droższe, przepływomierze masowe zapewniają bezpośredni pomiar masy przepływającego medium. To rozwiązanie stosowane głównie w aplikacjach wymagających najwyższej precyzji.
Prawo Torricellego a pomiary w pneumatyce
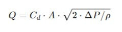
Prawo Torricellego jest często podstawą kalibracji kryz pomiarowych i dysz, w których wyznacza się prędkość przepływu w oparciu o różnicę ciśnień. W praktyce przepływ powietrza przez kryzę można wyrazić jako:

gdzie:
Q – objętościowe natężenie przepływu,
Cd – współczynnik przepływu,
A – pole przekroju otworu,
ΔP – różnica ciśnień,
ρ – gęstość powietrza.
W pneumatyce należy jednak uwzględnić, że:
powietrze jest gazem ściśliwym,
wraz ze spadkiem ciśnienia zmienia się jego gęstość,
przepływ może przejść w tzw. przepływ krytyczny (soniczny), co ogranicza maksymalne natężenie przepływu niezależnie od dalszego obniżania ciśnienia za kryzą.
Pomiary przepływu w pneumatyce przemysłowej – oferta Festo
Firma Festo jest globalnym liderem w dziedzinie automatyki przemysłowej, oferując szeroką gamę urządzeń do pomiaru przepływu w aplikacjach pneumatycznych. Oto kilka kluczowych rozwiązań z oferty Festo, które mają zastosowanie w praktyce przemysłowej.
Przepływomierze SFAB

Typ: Przepływomierze termiczne
Zakresy pomiarowe: od kilku l/min do nawet kilkuset l/min
Cechy:
szybki czas reakcji,
kompaktowa konstrukcja,
komunikacja IO-Link umożliwiająca łatwą integrację z systemami sterowania,
pomiar zarówno natężenia przepływu, jak i temperatury medium,
możliwość wykrywania nieszczelności w instalacji.

Zasada działania przepływomierza SFAB opiera się na mierzeniu chłodzenia elementu grzewczego przepływającym powietrzem, co – jak wspomniano wyżej – jest techniką bardzo precyzyjną przy średnich i małych przepływach.
Przepływomierze SFAH

Typ: Przepływomierze różnicy ciśnień
Zakresy: do kilkuset l/min
Cechy:
dobra dokładność przy większych przepływach,
wysoka odporność na zabrudzenia,
kompaktowe rozmiary,
przystosowanie do pracy w trudnych warunkach przemysłowych.
W tych urządzeniach wykorzystuje się zasady, które w uproszczeniu wywodzą się z prawa Torricellego – różnica ciśnień za zwężką pozwala obliczyć przepływ powietrza.
Przepływomierze SFAM

Typ: Mechaniczne przepływomierze masowe
Zakresy: szeroki zakres, do aplikacji przemysłowych,
Cechy:
solidna konstrukcja do pracy w trudnych warunkach,
wysoka precyzja,
różne wyjścia sygnałowe, w tym IO-Link,
możliwość pracy z różnymi mediami (powietrze, azot, CO₂).

SFAM to bardzo wszechstronne urządzenie, szczególnie tam, gdzie potrzebna jest kontrola rzeczywistego zużycia sprężonego powietrza w procesach technologicznych.
Przemysłowe zastosowania pomiarów przepływu
Pomiary przepływu w pneumatyce przemysłowej są dziś fundamentem efektywności energetycznej i niezawodności procesów. Przykładowe zastosowania to:
dozowanie powietrza w procesach produkcji napojów lub żywności,
monitorowanie zużycia powietrza w prasach pneumatycznych,
kontrola szczelności instalacji,
optymalizacja systemów przygotowania sprężonego powietrza (osuszacze, filtry),
monitoring systemów transportu pneumatycznego w przemyśle farmaceutycznym lub spożywczym.

Rozwiązania Festo pozwalają w pełni zautomatyzować i zintegrować pomiary z systemami SCADA, MES czy Industry 4.0, zapewniając nie tylko dane o przepływie, ale także predykcyjną diagnostykę pracy urządzeń.
Pomiary przepływu w pneumatyce – rozwiązania CS Instruments
Oprócz Festo, na rynku istnieje kilku renomowanych producentów specjalizujących się w pomiarach przepływu sprężonego powietrza i gazów technicznych. CS Instruments to jedna z firm, która zdobyła uznanie w przemyśle, szczególnie w obszarze diagnostyki i monitoringu instalacji sprężonego powietrza.
Specjalizacja CS Instruments
CS Instruments koncentruje się na:
pomiarach przepływu i zużycia sprężonego powietrza i gazów technicznych,
analizie jakości powietrza (punkt rosy, zawartość oleju),
detekcji nieszczelności,
kompleksowym monitoringu systemów sprężonego powietrza (Energy Management).
Ich urządzenia są projektowane z myślą o zastosowaniach przemysłowych, gdzie liczy się:
odporność na trudne warunki środowiskowe,
szeroki zakres pomiarowy,
integracja z systemami zarządzania energią (np. ISO 50001),
możliwość dokumentacji pomiarów.
Przepływomierze termiczne VA 500 / VA 520

VA 500
Typ: Przepływomierz termiczny
Zakres pomiarowy: od kilku l/min do nawet kilkudziesięciu tysięcy l/min
Cechy:
bezpośredni montaż na przewodzie sprężonego powietrza,
kompaktowa sonda do montażu nawet w ciasnych przestrzeniach,
sygnał analogowy lub cyfrowy (Modbus RTU, M-Bus),
pomiar przepływu masowego (niezależny od temperatury i ciśnienia),
szeroki zakres średnic rur dzięki zastosowaniu jednej sondy pomiarowej.
Przepływomierz VA 500 działa w oparciu o zasadę chłodzenia elementu grzewczego przez przepływające powietrze – analogicznie do urządzeń Festo SFAB. Jego duża zaleta to możliwość pracy przy bardzo niskich przepływach oraz łatwość montażu bez konieczności wycinania odcinków instalacji.
VA 520
Typ: Przepływomierz termiczny kompaktowy
Przeznaczenie: instalacje o mniejszych przekrojach (np. do DN 50)
Cechy:
ekonomiczne rozwiązanie do lokalnych pomiarów,
wbudowany wyświetlacz,
różne warianty sygnałów wyjściowych (analogowe, impulsowe).

VA 520 to świetna alternatywa do monitorowania pojedynczych gałęzi instalacji sprężonego powietrza, gdzie istotne jest kontrolowanie lokalnego zużycia.
Przepływomierze VA 550 i VA 570
Dla aplikacji wymagających większej odporności na warunki przemysłowe, CS Instruments oferuje przepływomierze VA 550 i VA 570.
Typ: Przepływomierz termiczny przemysłowy
Cechy:
wykonanie ze stali nierdzewnej,
możliwość pracy w temperaturach do 180°C,
zakres ciśnień do 16 bar,
certyfikaty ATEX do stref zagrożonych wybuchem (w wybranych modelach).
Te przepływomierze sprawdzają się w ciężkich warunkach przemysłowych, np. w hutnictwie, przemyśle chemicznym czy energetyce, gdzie standardowe urządzenia mogą być niewystarczające.
Flow Measurement Logger DS 500

CS Instruments wyróżnia się także systemami kompleksowego monitoringu.
DS 500 to rozbudowany rejestrator danych (Data Logger) dedykowany do:
monitoringu wielu punktów pomiarowych (przepływ, punkt rosy, ciśnienie),
długoterminowego rejestrowania danych,
integracji z systemami nadrzędnymi (SCADA, BMS, MES),
analizowania profili zużycia sprężonego powietrza,
wykrywania anomalii i strat energii.
DS 500 umożliwia tworzenie szczegółowych raportów wymaganych np. przez normę ISO 50001, co jest coraz ważniejsze w nowoczesnych zakładach przemysłowych, dążących do optymalizacji zużycia energii.

Prawo Torricellego a pomiary CS Instruments
Choć CS Instruments w większości stosuje przepływomierze termiczne, w niektórych urządzeniach (np. przy kryzach pomiarowych) bazuje się na metodzie różnicy ciśnień, której teoretyczne podstawy – podobnie jak w przypadku Festo – wywodzą się z prawa Torricellego i równania Bernoulliego. Szczególnie w instalacjach o dużych przepływach i stabilnych warunkach pracy pomiar różnicy ciśnień jest nadal atrakcyjną metodą pomiarową.
Festo vs CS Instruments – różnice i synergie
Obie firmy mają w swojej ofercie przepływomierze termiczne, jednak:
Festo skupia się przede wszystkim na integracji z automatyką przemysłową (IO-Link, sterowniki, systemy pneumatyczne),
CS Instruments specjalizuje się w diagnostyce energetycznej i kompleksowym monitoringu całych instalacji, często na poziomie zarządzania energią zakładu.
W praktyce wiele zakładów stosuje rozwiązania obu producentów:
Festo – w aplikacjach procesowych, gdzie istotna jest szybka reakcja w czasie rzeczywistym,
CS Instruments – w monitoringu zużycia energii, detekcji nieszczelności i raportowaniu dla audytów energetycznych.

Autor:
Jarosław Pospiech
Product Manager
Pneumat.

Autor:
Jarosław Pospiech
Product Manager
Pneumat.
Materiały zdjęciowe: Festo i CS Instruments
Zapisz się do newslettera i zyskaj dostęp do największej pneumatycznej bazy wiedzy!
Zyskaj dostęp do najnowszych artykułów, informacji o nadchodzących targach, wydarzeniach i mobilnych szkoleniach oraz promocjach w naszym sklepie internetowym!