- Prawo Ficka o dyfuzji gazów – fundament w inżynierii i pneumatyce przemysłowej
I I II prawo Flicka – wzór, teoria, dyfuzja gazów
Dyfuzja gazów to zjawisko fundamentalne zarówno w naukach przyrodniczych, jak i w technice. W przemyśle, szczególnie w automatyce i pneumatyce, zrozumienie zasad rządzących migracją cząsteczek gazów ma kluczowe znaczenie dla projektowania niezawodnych systemów, zapewnienia bezpieczeństwa procesowego oraz optymalizacji wydajności instalacji. Jednym z najważniejszych opisów matematycznych tego zjawiska jest prawo Ficka. W niniejszym artykule przedstawimy istotę tego prawa, jego znaczenie w praktyce przemysłowej oraz konsekwencje dla projektowania i eksploatacji układów pneumatycznych.
Podstawy teoretyczne – czym jest prawo Ficka?
Prawo Ficka, sformułowane przez niemieckiego fizyka Adolfa Ficka w 1855 roku, opisuje transport masy w wyniku zjawiska dyfuzji, czyli spontanicznego przemieszczania się cząsteczek z obszarów o wyższym stężeniu do obszarów o stężeniu niższym.
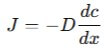
I prawo Ficka (dla stanu ustalonego):

gdzie:
J – strumień dyfuzyjny (ilość substancji przenoszonej przez jednostkę powierzchni na jednostkę czasu, np. mol/m²·s),
D – współczynnik dyfuzji (m²/s), zależny od rodzaju gazu i temperatury,
dc / dx – gradient stężenia (różnica stężeń w przestrzeni),
znak minus oznacza kierunek transportu: z wyższego do niższego stężenia.
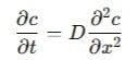
II prawo Ficka (dla stanu nieustalonego):

Opisuje ono zmiany stężenia w czasie w funkcji przestrzeni i znajduje zastosowanie w dynamicznych procesach dyfuzji.
Dyfuzja gazów w kontekście przemysłowym
Dyfuzja gazów ma istotne znaczenie w wielu procesach technologicznych, takich jak:
spalanie przemysłowe (transport tlenu i paliw gazowych),
procesy separacji gazów (np. w membranach lub kolumnach absorpcyjnych),
kontrola szczelności instalacji pneumatycznych,
transport substancji zapachowych lub toksycznych w środowisku pracy,
sterylizacja gazowa (np. tlenkiem etylenu),
przechowywanie i przesył gazów technicznych.
W każdym z tych przypadków znajomość mechanizmów dyfuzji pozwala przewidywać i kontrolować tempo transportu gazów, co przekłada się na efektywność, bezpieczeństwo i jakość procesów.
Znaczenie prawa Ficka w pneumatyce
W pneumatyce technicznej – dziedzinie wykorzystującej sprężone powietrze do napędu, sterowania i automatyzacji – prawo Ficka odgrywa rolę zarówno w kontekście projektowym, jak i eksploatacyjnym:
a) Szczelność układów pneumatycznych
W instalacjach sprężonego powietrza, zwłaszcza pracujących pod wysokim ciśnieniem (np. 6–10 bar), nawet niewielkie nieszczelności mogą prowadzić do powolnego wypływu powietrza. Ten wypływ, choć pozornie nieistotny, zachodzi zgodnie z gradientem stężeń i ciśnień – a więc według prawa Ficka.
Utrata energii: Dyfuzja przez mikroszczeliny w przewodach, złączkach lub zaworach skutkuje wzrostem kosztów eksploatacji.
Detekcja nieszczelności: Nowoczesne systemy diagnostyczne i testery szczelności często bazują na modelach matematycznych prawa Ficka do obliczeń tempa ubytku gazu.

b) Materiały półprzepuszczalne i membrany
W zaawansowanych układach pneumatycznych stosuje się membrany do separacji gazów (np. usuwania pary wodnej). Zdolność gazu do przenikania przez membranę zależy od jego współczynnika dyfuzji i gradientu stężenia – bezpośrednio według prawa Ficka.
c) Magazynowanie sprężonego powietrza
W zbiornikach ciśnieniowych dyfuzja nie jest głównym zjawiskiem transportowym, ale długotrwałe przechowywanie gazów (np. w rurociągach stalowych) może powodować przenikanie cząsteczek do otoczenia, zwłaszcza przy nieszczelnych uszczelnieniach. Uwzględnienie parametrów dyfuzji jest kluczowe przy ocenie trwałości i konserwacji instalacji.
Wpływ warunków fizycznych na dyfuzję gazów
Zgodnie z teorią kinetyczno-molekularną, współczynnik dyfuzji gazów zależy od kilku parametrów:
temperatura – im wyższa, tym szybszy ruch cząsteczek i wyższy D,
ciśnienie – wyższe ciśnienie zwiększa stężenie, co zmienia gradienty stężeń,
masa molowa gazu – lżejsze gazy (np. hel, wodór) dyfundują szybciej niż cięższe (np. CO₂),
lepkość dynamiczna – wiąże się z oporem ruchu cząsteczek (zależność od prawa Newtona).
W kontekście pneumatyki przemysłowej, parametry te muszą być brane pod uwagę przy doborze rur, złączek, filtrów oraz projektowaniu systemów transportu gazów specjalnych (np. w medycynie, elektronice, farmacji).

Modelowanie i symulacje komputerowe
Nowoczesne narzędzia inżynierskie (np. COMSOL Multiphysics, Ansys Fluent) pozwalają na numeryczne modelowanie dyfuzji gazów z wykorzystaniem równań Ficka. Dzięki temu można:
projektować membrany separacyjne o określonej przepuszczalności,
symulować emisję gazów z instalacji procesowych,
analizować warunki wewnątrz zbiorników, rur, wymienników ciepła,
przewidywać skutki awarii lub wycieków.
Symulacje takie są nieocenione w projektowaniu instalacji wysokiego ryzyka – np. w przemyśle chemicznym, rafineryjnym czy spożywczym.
Praktyczne zastosowania – przykłady z przemysłu
Produkcja elektroniki – w czystych pomieszczeniach wymagane są kontrolowane stężenia gazów. Dyfuzja przez uszczelnienia, filtry HEPA i mikroprzecieki musi być minimalizowana.

Przemysł spożywczy – w pakowaniu żywności atmosferą ochronną (MAP) dyfuzja tlenu lub CO₂ przez opakowanie musi być dokładnie znana.

Farmacja – transport aktywnych substancji lotnych lub rozpuszczalników przez filtry lub bariery dyfuzyjne kontrolowany jest zgodnie z prawem Ficka.

Energetyka – w turbinach gazowych, instalacjach kogeneracyjnych czy systemach biogazu migracja gazów przez ścianki urządzeń lub układy pomiarowe ma znaczenie dla sprawności i bezpieczeństwa.

CS Instruments – pomiar zjawisk dyfuzyjnych i ich wpływu na efektywność
CS Instruments specjalizuje się w rozwiązaniach do pomiaru, monitorowania i diagnostyki sprężonego powietrza. W kontekście prawa Ficka, ich produkty są nieocenione w analizie i kontroli zjawisk dyfuzyjnych w systemach pneumatycznych.
a) Detekcja i analiza nieszczelności – Leckage Management
Zgodnie z I prawem Ficka, każda nieszczelność generuje strumień dyfuzyjny, którego intensywność zależy od różnicy ciśnień i właściwości gazu. Urządzenia takie jak:
LD 500/510/550 (ultradźwiękowe detektory nieszczelności),

LD 400/LD 600 (systemy pomiaru wycieków w czasie rzeczywistym),
pozwalają na lokalizację i ilościowe określenie miejsc, gdzie zachodzi niekontrolowana dyfuzja. To kluczowe dla:
ograniczenia strat energii,
utrzymania szczelności w produkcji ISO 8573-1 (np. klasa 1:1:1),
zapewnienia bezpieczeństwa w strefach wymagających hermetyczności.
b) Monitorowanie wilgotności i przepływu gazów – wpływ na dyfuzję
Produkty CS Instruments, takie jak:
Dew Point Sensor DP 500/510,

VA 500/520 (anemometry termiczne do pomiaru przepływu gazu),
umożliwiają analizę parametrów wpływających na dyfuzję – m.in. wilgotność względna, temperatura, ciśnienie dynamiczne. To ważne, ponieważ zgodnie z teorią transportu masy, współczynnik dyfuzji rośnie wraz z temperaturą i zmniejsza się w obecności pary wodnej (zjawisko tzw. efektywnego oporu dyfuzyjnego).

Dzięki tym pomiarom można:
zoptymalizować osuszanie sprężonego powietrza,
poprawić jakość medium (eliminując zjawisko redyfuzji wilgoci),
kontrolować warunki pracy urządzeń końcowych (np. siłowników, elektrozaworów).

Autor:
Jarosław Pospiech
Product Manager
Pneumat.

Autor:
Jarosław Pospiech
Product Manager
Pneumat.
Zapisz się do newslettera i zyskaj dostęp do największej pneumatycznej bazy wiedzy!
Zyskaj dostęp do najnowszych artykułów, informacji o nadchodzących targach, wydarzeniach i mobilnych szkoleniach oraz promocjach w naszym sklepie internetowym!