- Prawo Darcyego w pneumatyce i przemyśle
Techniczne ujęcie zjawisk przepływu gazów przez ośrodki porowate
Prawo Darcy’ego, pierwotnie sformułowane w XIX wieku przez Henry’ego Darcy’ego w kontekście przepływu wody przez warstwy piasku, znalazło szerokie zastosowanie nie tylko w hydrogeologii i inżynierii środowiska, ale także w przemyśle, w tym w pneumatyce. Choć może się wydawać, że pneumatyka – dziedzina oparta na kontrolowanym przepływie sprężonego powietrza – nie korzysta bezpośrednio z tego prawa, to jednak wiele procesów związanych z filtracją, przepływem przez ośrodki porowate czy nawet projektowaniem układów odpowietrzania i separacji zanieczyszczeń bazuje właśnie na Darcy’m.
W tym artykule przedstawimy, jak prawo Darcy’ego odnosi się do przepływu gazów, jakie ma znaczenie w pneumatyce i przemysłowych aplikacjach oraz jak może wspierać optymalizację systemów sprężonego powietrza i instalacji technologicznych.

Czym jest prawo Darcy’ego?
Prawo Darcy’ego opisuje laminarny przepływ płynu (cieczy lub gazu) przez ośrodek porowaty. W swojej klasycznej formie, dla cieczy, prawo to wyraża się równaniem:

Gdzie:
Q – objętościowe natężenie przepływu [m³/s],
k – współczynnik przepuszczalności (permeabilności) ośrodka [m²],
A – pole przekroju poprzecznego przepływu [m²],
dP/dx – gradient ciśnienia [Pa/m],
μ – lepkość dynamiczna cieczy [Pa·s].
Dla gazów, równanie Darcy’ego można przekształcić, uwzględniając ich ściśliwość i inne właściwości termodynamiczne. W efekcie otrzymujemy wyrażenie na przepływ masowy lub objętościowy sprężonego powietrza przez medium porowate, z korektami dla ciśnień i gęstości.
Prawo Darcy’ego a przepływ gazów – modyfikacje i uwarunkowania
Ściśliwość gazów
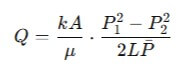
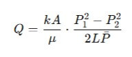
W przeciwieństwie do cieczy, gazy są ściśliwe, co oznacza, że ich gęstość zmienia się wraz z ciśnieniem. Aby zastosować prawo Darcy’ego w pneumatyce, należy uwzględnić zmienność gęstości i ciśnienia gazu w czasie i przestrzeni. Uproszczona forma przepływu gazu w ośrodku porowatym, uwzględniająca ściśliwość, może przybrać postać wg wzoru:

Gdzie:
P1 i P2 – ciśnienie na początku i końcu ośrodka porowatego [Pa],
P – średnie ciśnienie w ośrodku,
L – długość ośrodka porowatego [m].
Efekt Klinkenberga
W przypadku przepływu gazów przez bardzo drobne ośrodki porowate, obserwuje się tzw. efekt Klinkenberga – zjawisko polegające na zwiększeniu przepuszczalności przy niższych ciśnieniach. Wynika ono z poślizgu molekularnego gazu przy ścianach porów. Ma to znaczenie przy projektowaniu np. mikroporowatych filtrów powietrza w pneumatyce.

Zastosowanie prawa Darcy’ego w pneumatyce
Filtracja sprężonego powietrza
W przemysłowych układach pneumatycznych niezbędna jest filtracja sprężonego powietrza z zanieczyszczeń stałych, ciekłych oraz olejowych. Filtry stosowane w tych systemach – szczególnie filtry koalescencyjne, mikroporowate i membranowe – opierają swoje działanie właśnie na zasadach przepływu przez ośrodek porowaty. Prawo Darcy’ego umożliwia projektowanie wkładów filtracyjnych o określonej porowatości i wydajności przepływu.

Zastosowanie:
separatory oleju,
osuszacze adsorpcyjne (z wypełnieniem zeolitowym lub aluminosilikatowym).
Przepływ przez porowate tłumiki hałasu
W pneumatyce przemysłowej często stosuje się tłumiki hałasu montowane na wylotach zaworów, siłowników lub wysp zaworowych. Składają się one z sinterowanych metali lub tworzyw sztucznych o porowatej strukturze. Dzięki Darcy’emu możliwe jest przewidywanie i kontrola przepływu powietrza oraz redukcji hałasu bez ryzyka nadmiernych spadków ciśnienia.
Elementy odpowietrzające i kompensatory ciśnienia
Prawo Darcy’ego stosowane jest także w analizie przepływu powietrza przez mikroporowate membrany wykorzystywane w:
odpowietrznikach zbiorników,
odgazowywaczach systemów hydraulicznych,
kompensatorach objętościowych.
Membrany te muszą przepuszczać powietrze lub parę wodną w kontrolowany sposób – a dzięki Darcy’emu można projektować ich strukturę, porowatość i grubość.
Przemysłowe zastosowania prawa Darcy’ego
Pneumatyka procesowa i automatyka
W automatyce przemysłowej, szczególnie w środowiskach czystych (np. farmacja, elektronika, spożywka), prawo Darcy’ego wykorzystywane jest do:
projektowania filtrów o niskim oporze przepływu,
kontroli warunków filtracji przy zmiennym ciśnieniu,
analizy żywotności wkładów filtracyjnych na podstawie wzrostu oporów.

Przemysł chemiczny i petrochemiczny
W aplikacjach, gdzie gazy procesowe (np. wodór, azot, dwutlenek węgla) muszą być oczyszczane lub suszone przed wejściem do reaktorów, kluczowe jest zrozumienie przepływu przez media porowate – w tym granulaty osuszające, wypełnienia katalityczne i filtry bezpieczeństwa.

Przemysł energetyczny i OZE
W instalacjach OZE, np. w systemach magazynowania energii sprężonym powietrzem (CAES), analiza strat ciśnienia podczas przepływu powietrza przez skały porowate lub sztuczne zbiorniki opiera się na Darcy’m. W energetyce konwencjonalnej – szczególnie w elektrowniach gazowych – dotyczy to systemów odpylania i filtracji.

Modelowanie i symulacja – CFD a Darcy
Współczesne narzędzia do obliczeń numerycznych (CFD – Computational Fluid Dynamics) umożliwiają precyzyjne modelowanie przepływów gazów przez materiały porowate, uwzględniając prawo Darcy’ego jako element modelu przepływu. W praktyce inżynierskiej oznacza to:
optymalizację geometrii filtrów i wkładów,
przewidywanie spadków ciśnienia,
ocenę zużycia filtrów w czasie rzeczywistym,
integrację modelu Darcy’ego z bardziej zaawansowanymi modelami (np. Naviera-Stokesa w strefach przejściowych).
Wyzwania i ograniczenia
Choć prawo Darcy’ego jest potężnym narzędziem inżynierskim, jego zastosowanie w pneumatyce wymaga ostrożności:
nie sprawdza się przy turbulentnym przepływie (Re > 10),
pomija zjawiska dynamiczne i pulsacyjne typowe dla układów pneumatyki przemysłowej,
wymaga znajomości dokładnych właściwości ośrodka porowatego – co nie zawsze jest możliwe w warunkach przemysłowych,
nie uwzględnia adsorpcji, reakcji chemicznych ani kondensacji – co jest istotne np. w osuszaczach.

Przykład przemysłowy – analiza przepływu przez filtr koalescencyjny
Rozważmy praktyczne zastosowanie prawa Darcy’ego w zakładzie produkującym komponenty pneumatyczne, gdzie w sprężarkowni zamontowany jest filtr koalescencyjny o powierzchni przekroju A=0,015 m2 długości L=0,2 m i współczynniku przepuszczalności k=1⋅10−13 m2. Sprężone powietrze ma ciśnienie wejściowe P1=7 bar, ciśnienie wyjściowe P2=6,5 bar, a jego lepkość dynamiczna wynosi μ=1,8⋅10−5 Pa⋅s.
Dla uproszczenia przyjmijmy średnie ciśnienie:

Obliczając przepływ objętościowy przy pomocy zmodyfikowanego prawa Darcy’ego dla gazów:

Podstawiając dane:

Taki przepływ może wydawać się niewielki, ale dla specjalistycznych procesów (np. instrumentacji pneumatycznej, mediów buforowych, odpowietrzania) jest całkowicie wystarczający. Przepływ ten może być zwiększany przez odpowiednie skalowanie powierzchni lub zastosowanie struktur o wyższej przepuszczalności.
Materiały porowate w pneumatyce – charakterystyka techniczna
A) Popularne materiały
Materiały wykorzystywane w elementach przepuszczających powietrze to m.in.:
stal sinterowana (spiekana) – wytrzymała, odporna na temperaturę i korozję,
brąz sinterowany – popularny w tłumikach hałasu,
polietylen porowaty (PE-HD) – stosowany w filtrach jednorazowych, małej przepuszczalności,
ceramika porowata – odporna na wysoką temperaturę, agresywne chemikalia,
membrany PTFE – w odpowietrznikach i osuszaczach.

B) Właściwości wpływające na Darcy’ego
średnica porów – im mniejsza, tym większy opór przepływu,
objętościowa porowatość – udział pustych przestrzeni w strukturze (np. 30–50%),
grubość materiału – ma wpływ na długość drogi przepływu,
kompatybilność chemiczna – ważna dla przemysłów spożywczego i farmaceutycznego.

Autor:
Ekspert Pneumat.
Pneumat.

Autor:
Ekspert Pneumat.
Pneumat.
Zapisz się do newslettera i zyskaj dostęp do największej pneumatycznej bazy wiedzy!
Zyskaj dostęp do najnowszych artykułów, informacji o nadchodzących targach, wydarzeniach i mobilnych szkoleniach oraz promocjach w naszym sklepie internetowym!