- Liczba Reynolds’a w projektowaniu instalacji pneumatycznych
Liczby Reynoldsa w pneumatyce i przemyśle
W pneumatyce przemysłowej, gdzie medium roboczym jest sprężone powietrze, inżynierowie nieustannie poszukują sposobów na maksymalizację efektywności instalacji, minimalizację strat ciśnienia oraz zapewnienie stabilnej pracy urządzeń. Jednym z absolutnie fundamentalnych pojęć w projektowaniu każdej instalacji przepływowej – w tym pneumatycznej – jest Liczba Reynoldsa (Re). To właśnie ten parametr decyduje, czy przepływ w przewodach jest laminarny, czy turbulentny, co ma olbrzymie konsekwencje dla strat energii, hałasu, pracy urządzeń oraz kosztów eksploatacji.
Czym jest Liczba Reynoldsa?
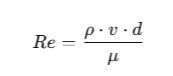
Liczba Reynoldsa to bezwymiarowy parametr, który opisuje charakter przepływu płynu (cieczy lub gazu) w przewodzie. Obliczamy ją według wzoru:

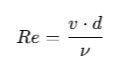
lub w postaci alternatywnej:

gdzie:
ρ – gęstość medium [kg/m³],
v – prędkość przepływu [m/s],
d – średnica wewnętrzna przewodu [m],
μ – lepkość dynamiczna medium [Pa·s],
ν – lepkość kinematyczna [m²/s].

Znaczenie Liczby Reynoldsa w pneumatyce
W pneumatyce sprężone powietrze porusza się w przewodach, rurach, zaworach, złączkach oraz elementach wykonawczych. Znając Liczbę Reynoldsa, możemy określić:
Charakter przepływu:
Re < 2000 → przepływ laminarny (uporządkowany, warstwowy)
2000 < Re < 4000 → przepływ przejściowy
Re > 4000 → przepływ turbulentny (chaotyczny, mieszający się)
Straty ciśnienia w instalacji:
przepływ turbulentny generuje większe straty ciśnienia,
przepływ laminarny zapewnia niższy opór przepływu.
Hałas i drgania:
w przepływie turbulentnym pojawiają się zawirowania, które mogą powodować hałas oraz niekorzystne wibracje.
Energooszczędność:
niższe Re to często mniejsze zużycie energii na sprężanie powietrza.
Dokładność działania urządzeń:
w przepływie laminarnym siłowniki, zawory proporcjonalne i regulatory działają stabilniej.

Przepływ laminarny a turbulentny – konsekwencje projektowe
Przepływ laminarny
występuje przy niskich prędkościach przepływu,
charakteryzuje się przewidywalnym profilem prędkości (maksimum w osi przewodu, minimum przy ściankach),
idealny do precyzyjnych aplikacji dozujących i wrażliwych procesów.
Przepływ turbulentny
występuje przy większych prędkościach,
wiąże się z większymi oporami, stratami ciśnienia i turbulencjami,
sprawdza się tam, gdzie potrzebny jest szybki transport dużych ilości sprężonego powietrza, np. w systemach transportu pneumatycznego.
Liczba Reynoldsa w projektowaniu sieci pneumatycznych
Podczas projektowania instalacji pneumatycznych inżynierowie muszą zdecydować:
✓ Jakie średnice przewodów zastosować?
Mniejsze średnice → wyższa prędkość przepływu → wyższa Liczba Reynoldsa → wzrost strat ciśnienia.
✓ Jakie długości przewodów zaprojektować?
Dłuższe przewody → większe straty tarcia.
✓ Jakie elementy pośrednie (zawory, kolanka, trójniki) zastosować?
Każda zmiana kierunku lub średnicy wpływa na lokalny wzrost Re i powoduje dodatkowe straty.
Przykład obliczeniowy – obliczanie Re w pneumatyce
Załóżmy:
ciśnienie powietrza: 6 bar (absolutne),
temperatura powietrza: 20°C,
prędkość przepływu: 15 m/s,
średnica przewodu: 12 mm (0,012 m),
gęstość powietrza w tych warunkach ≈ 7,1 kg/m³,
lepkość dynamiczna powietrza ≈ 1,8·10⁻⁵ Pa·s.
Obliczamy:

Taki wynik jednoznacznie wskazuje na przepływ turbulentny, co oznacza konieczność uwzględnienia większych strat ciśnienia oraz potencjalnego hałasu.
Aignep Infinity – system sprężonego powietrza zoptymalizowany pod kątem przepływu

Aignep Infinity to nowoczesny system aluminiowych rur pneumatycznych i złączek do budowy instalacji sprężonego powietrza. W kontekście Liczby Reynoldsa system ten wyróżnia się następującymi zaletami:
✓ Gładka powierzchnia wewnętrzna rur aluminiowych Infinity
znacznie niższy współczynnik chropowatości niż w przypadku rur stalowych czy ocynkowanych,
minimalizuje opory tarcia → niższa Liczba Reynoldsa przy tej samej prędkości przepływu,
mniejsze straty ciśnienia.

✓ Mniejsze zawirowania w złączkach
projekt złączek Infinity minimalizuje zmiany przekrojów i ostre kąty przepływu,
ogranicza lokalny wzrost Re.

✓ Wytrzymałość ciśnieniowa
system Infinity wytrzymuje do 16 bar,
pozwala pracować przy wysokich prędkościach przepływu, nawet w przepływie turbulentnym, bez ryzyka uszkodzeń.

✓ Energooszczędność
dzięki niższym oporom przepływu instalacje pneumatyczne Infinity pozwalają zmniejszyć zużycie energii elektrycznej w kompresorach.

Projektowanie z uwzględnieniem Re w systemie Aignep Infinity
Podczas projektowania instalacji Infinity należy:
analizować Re w różnych odcinkach sieci (w prostych rurach, kolankach, trójnikach),
wybierać średnicę rur tak, aby w najbardziej obciążonym miejscu nie przekraczać akceptowalnych strat ciśnienia,
uwzględniać maksymalny przepływ projektowany w m³/h i jego wpływ na prędkość przepływu.
Dla układów, gdzie krytyczna jest stabilność ciśnienia (np. sterowanie siłownikami w maszynach pakujących), dąży się do ograniczenia Re, nawet kosztem wyższych kosztów materiałowych (większe średnice rur).
Przykłady zastosowań w pneumatyce
1. Systemy szybkiego pozycjonowania
W liniach montażowych, gdzie wymagana jest bardzo szybka praca siłowników pneumatycznych, zazwyczaj projektuje się przepływ turbulentny. Umożliwia on bardzo dynamiczny przepływ powietrza, co skraca czas cyklu maszyny. Jednak taki przepływ powoduje większe straty ciśnienia i większe obciążenie układu, co wymaga stosowania komponentów o wyższej odporności mechanicznej.
2. Transport pneumatyczny
W systemach transportu pneumatycznego (np. przenoszenie granulatu, proszków, zboża) turbulentny przepływ jest wręcz niezbędny, bo pozwala „unieść” cząstki w strumieniu powietrza. Jednak im bardziej intensywna turbulencja, tym wyższa jest tendencja do powstawania zatorów i ścierania przewodów.
3. Przepływ laminar w urządzeniach dozujących
Tam, gdzie kluczowa jest precyzja — np. w dozowaniu cieczy w farmacji lub pneumatycznym podawaniu minimalnych dawek substancji — stosuje się przepływ laminar. Umożliwia on przewidywalny strumień, ogranicza pulsacje i eliminuje efekt „uderzenia” powietrza.
Standardy i normy związane z przepływem
W pneumatyce projektowanie systemów musi uwzględniać obowiązujące normy:
ISO 6358 – definiuje zasady wyznaczania współczynników przepływu dla elementów pneumatycznych.
VDI/VDE 2173 – zalecenia dotyczące sposobu obliczeń przepływu gazów w przewodach.
ISO 8573 – norma czystości sprężonego powietrza – przepływ turbulentny może powodować oderwanie zanieczyszczeń ze ścianek przewodów, dlatego kluczowe jest monitorowanie stanu instalacji.

Autor:
Ekspert Pneumat.
Pneumat.

Autor:
Ekspert Pneumat.
Pneumat.
Zapisz się do newslettera i zyskaj dostęp do największej pneumatycznej bazy wiedzy!
Zyskaj dostęp do najnowszych artykułów, informacji o nadchodzących targach, wydarzeniach i mobilnych szkoleniach oraz promocjach w naszym sklepie internetowym!