- Prawo Gay Lussaca w układach pneumatyki przemysłowej
Teoria, wzory, zastosowanie i praktyka w kontekście komponentów pneumatycznych
Układy pneumatyczne są podstawą wielu nowoczesnych instalacji przemysłowych — od automatyki produkcyjnej, przez linie montażowe, po systemy transportu i sterowania. Dla inżyniera projektującego lub utrzymującego instalację pneumatyczną niezbędna jest znajomość podstawowych praw fizycznych opisujących zachowanie sprężonego powietrza. Jednym z nich jest prawo Gay-Lussaca, które odgrywa kluczową rolę w zrozumieniu i kontrolowaniu zjawisk termicznych w układach gazowych.

Czym jest prawo Gay-Lussaca?
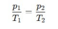
Prawo Gay-Lussaca (nazywane też II prawem Gay-Lussaca lub prawem izochorycznym) opisuje związek między ciśnieniem a temperaturą gazu przy stałej objętości.
Wzór matematyczny:

lub inaczej:
p∼T (przy V = const)
Gdzie:
p – ciśnienie gazu,
T – temperatura bezwzględna (w kelwinach),
V – objętość stała (niezmienna, np. zamknięty siłownik),
indeksy 1 i 2 oznaczają stany początkowy i końcowy.
Znaczenie fizyczne:
Jeśli gaz (np. sprężone powietrze) jest ogrzewany w zamkniętej objętości, jego ciśnienie rośnie proporcjonalnie do temperatury. W pneumatyce oznacza to, że np. niewłaściwe chłodzenie zbiornika czy przewodu może prowadzić do wzrostu ciśnienia powyżej poziomu bezpiecznego.
Prawo Gay-Lussaca w praktyce pneumatycznej
Chociaż klasyczne prawo Gay-Lussaca dotyczy idealnego gazu w zamkniętej objętości, jego skutki można obserwować również w rzeczywistych układach pneumatycznych, szczególnie tam, gdzie:
powietrze ulega sprężaniu lub ekspansji,
objętość robocza jest chwilowo stała (np. zamknięty tłok w siłowniku),
dochodzi do gwałtownych zmian temperatury (np. podczas szybkiego tłoczenia),
występują różnice temperatur pomiędzy medium a otoczeniem (np. zimą na zewnątrz hali).
Aplikacje przemysłowe, w których występuje efekt Gay-Lussaca
1. Siłowniki pneumatyczne
Gdy siłownik wykonuje ruch i zatrzymuje się, a zawory pozostają zamknięte, powietrze w komorze nie może się przemieścić – objętość jest stała. Jeżeli temperatura wzrośnie (np. przez nagrzanie elementu przez maszynę), ciśnienie w komorze rośnie – zgodnie z prawem Gay-Lussaca. Może to:
zaburzyć pozycję tłoka (nawet przy wyłączonym zasilaniu),
doprowadzić do niekontrolowanego przemieszczenia.

Efekt cieplny sprężonego powietrza w siłownikach
W czasie pracy siłownika pneumatycznego, powietrze w jego komorach często ulega krótkotrwałemu zatrzymaniu — np. gdy zawór rozdzielający jest zamknięty, a tłok czeka na kolejne polecenie. Jeśli w tym czasie wzrośnie temperatura (np. wskutek bliskości źródeł ciepła, promieniowania IR lub nagrzewania konstrukcji), zgodnie z prawem Gay-Lussaca:
ciśnienie wzrasta proporcjonalnie do temperatury,
może dojść do niekontrolowanego ruchu tłoka lub przeciążenia uszczelnień,
w skrajnych przypadkach – do awarii zaworów lub uszkodzeń siłownika.

Dlatego w instalacjach narażonych na wysokie wahania temperatur stosuje się zawory odpowietrzające lub zawory z funkcją upustu nadciśnienia.
2. Zbiorniki na sprężone powietrze
Zamknięte zbiorniki magazynujące sprężone powietrze, zwłaszcza umieszczone w pobliżu źródeł ciepła, mogą doświadczyć wzrostu ciśnienia wraz ze wzrostem temperatury — co wymaga zastosowania:
zaworów bezpieczeństwa,
czujników temperatury i ciśnienia,
monitoringu warunków środowiskowych.

Wpływ efektu Gay-Lussaca na rozmiarowanie zbiorników
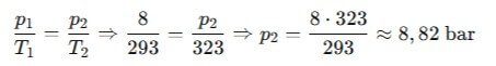
Podczas projektowania zbiorników sprężonego powietrza, warto uwzględnić wpływ temperatury otoczenia na ciśnienie gazu. Przykładowo:
Jeśli zbiornik 300 litrów jest napełniony do 8 bar przy 20°C, to w przypadku wzrostu temperatury do 50°C, nowe ciśnienie wyliczamy:

Oznacza to wzrost o niemal 0,8 bara – co może przekroczyć dopuszczalne ciśnienie zbiornika, jeśli nie zastosujemy zaworu bezpieczeństwa.

3. Systemy chłodzenia i grzania
Układy transportujące sprężone powietrze przez różne strefy temperaturowe (np. przez piec, strefę zamrażania, halę zewnętrzną) narażone są na dynamiczne zmiany temperatury → wpływa to na zmiany ciśnienia, przepływu i dokładność działania układu.
Produkty Pneumat System wspierające zarządzanie ciśnieniem i temperaturą
Siłowniki pneumatyczne
Firma Pneumat System oferuje szeroki wybór siłowników zgodnych z ISO 15552, ISO 6432 i kompaktowych, które:
mają odpowiednią tolerancję na zmiany temperatury,
są dostępne w wersjach z tłoczyskiem ze stali nierdzewnej (dla aplikacji zewnętrznych),
mogą być wyposażone w czujniki położenia – ważne przy kontrolowaniu nieplanowanych przemieszczeń spowodowanych wzrostem ciśnienia.

Zawory bezpieczeństwa i reduktory
Prawo Gay-Lussaca pokazuje, że wzrost temperatury to potencjalny wzrost ciśnienia – dlatego w ofercie Pneumat System znajdują się:
reduktory ciśnienia z kompensacją temperatury,

zawory upustowe i ciśnieniowe,
czujniki ciśnienia z wyjściem analogowym i cyfrowym.
Filtry, osuszacze, kontrolery

Zmiany temperatury wpływają też na kondensację – wilgoć może się wytrącać przy nagłym spadku temperatury. Pneumat System zapewnia:
jednostki przygotowania powietrza (FRL) z odwadniaczami automatycznymi.
| Branża | Znaczenie prawa Gay-Lussaca |
| Automotive | Siłowniki w prasach i liniach montażowych, temperatura pracy 25–80°C |
| Spożywcza | Linie pakujące, zgrzewające, gdzie dochodzi do cykli cieplnych |
| Logistyka | Systemy pick-and-place w zmiennych warunkach temperaturowych (magazyny, zewnętrzne rampy) |
| Przemysł ciężki | Agregaty pneumatyczne w hutach, odlewniach, lakierniach |
| Energetyka | Pneumatyka napędowa w elektrowniach – w strefach o dużych wahaniach temperatur |
Jak ograniczyć negatywne skutki efektu Gay-Lussaca?
Stosuj armaturę kompensującą zmiany temperatury – reduktory i zawory proporcjonalne.
Dobieraj komponenty do warunków środowiskowych – siłowniki o wysokim zakresie temperaturowym.
Monitoruj ciśnienie i temperaturę – wykorzystując czujniki i presostaty.
Stosuj zawory bezpieczeństwa – zwłaszcza w zbiornikach i odcinkach zamkniętych.
Izoluj układy narażone na silne zmiany temperatury – fizycznie lub przez zmianę lokalizacji.
Case Study: Linia pakowania w zakładzie mleczarskim

Problem:
W zakładzie produkcyjnym dochodziło do nieregularnego działania siłowników na linii zgrzewającej kartony z mlekiem. Diagnostyka wykazała:
losowe przesunięcia tłoka przy braku sygnału,
drobne rozszczelnienia,
wzrost ciśnienia w komorach po postoju maszyny.
Analiza:
Wina leżała w efekcie prawo Gay-Lussaca – linia znajdowała się w nasłonecznionej części hali, a temperatura powietrza w zamkniętych komorach wzrastała o 15–20°C. Skutkowało to wzrostem ciśnienia nawet o 0,7 bara przy braku odpływu powietrza.
Rozwiązanie:
zastosowano siłowniki z odpowietrzeniem i tłumieniem,
dodano zawory nadmiarowe i czujniki temperatury,
przeprojektowano strefę – izolując ją termicznie.
Efekt:
Eliminacja usterek i wzrost niezawodności procesu pakowania.

Autor:
Magdalena Skotnica
Doradca ds.
techniczno-handlowych
Pneumat.

Autor:
Magdalena Skotnica
Doradca ds.
techniczno-handlowych
Pneumat.
Zapisz się do newslettera i zyskaj dostęp do największej pneumatycznej bazy wiedzy!
Zyskaj dostęp do najnowszych artykułów, informacji o nadchodzących targach, wydarzeniach i mobilnych szkoleniach oraz promocjach w naszym sklepie internetowym!